Examples#
Example files for jQMC are found at kousuke-nakano/jQMC.
jqmc-example01:#
Total energy of water molecule. One can learn how to obtain the VMC and DMC (in the extrapolated limit) energies of the Water dimer, starting from scratch (i.e., DFT calculation), with cartesian GTOs.
Setup#
Create a working directory and move into it.
% mkdir water_qmc && cd water_qmc
Generate a trial WF#
The first step of ab-initio QMC is to generate a trial WF by a mean-field theory such as DFT/HF. jQMC interfaces with other DFT/HF software packages via TREX-IO.
One of the easiest ways to produce it is using pySCF as a converter to the TREX-IO format is implemented. Another way is using CP2K, where a converter to the TREX-IO format is implemented.
The following is a script to run a HF calculation for the water molecule using pyscf-forge and dump it as a TREX-IO file.
[!NOTE] This
TREX-IOconverter is being develped in thepySCF-forgerepository and not yet merged to the main repository ofpySCF. Please usepySCF-forge.
from pyscf import gto, scf
from pyscf.tools import trexio
filename = "water_ccecp_ccpvtz.h5"
mol = gto.Mole()
mol.verbose = 5
mol.atom = """
O 5.00000000 7.14707700 7.65097100
H 4.06806600 6.94297500 7.56376100
H 5.38023700 6.89696300 6.80798400
"""
mol.basis = "ccecp-ccpvtz"
mol.unit = "A"
mol.ecp = "ccecp"
mol.charge = 0
mol.spin = 0
mol.symmetry = False
mol.cart = True
mol.output = "water.out"
mol.build()
mf = scf.HF(mol)
mf.max_cycle = 200
mf_scf = mf.kernel()
trexio.to_trexio(mf, filename)
Launch it on a terminal. You may get E = -16.9450309201805 Ha [Hartree-Forck].
% mkdir -p 01DFT/01pyscf-forge && cd 01DFT/01pyscf-forge
% python run_pyscf.py
% cd ../..
The following is a script to run a LDA calculation for the water molecule using cp2k and dump it as a TREXIO file.
3
O 5.00000000 7.14707700 7.65097100
H 4.06806600 6.94297500 7.56376100
H 5.38023700 6.89696300 6.80798400
&global
project water_ccecp_ccpvtz
print_level medium
run_type energy
&end
&force_eval
method quickstep
&subsys
&cell
abc 15.0 15.0 15.0
periodic none
&end
&topology
coord_file_format xyz
coord_file_name water.xyz
&end
&kind H
basis_set ccecp-cc-pVTZ
potential ecp ccECP
&end
&kind O
basis_set ccecp-cc-pVTZ
potential ecp ccECP
&end
&end
&dft
multiplicity 1
uks false
charge 0
basis_set_file_name ./basis.cp2k
potential_file_name ./ecp.cp2k
&qs
method gpw
eps_default 1.0e-15
&end
&xc
&xc_functional
&lda_x
&end
&lda_c_pz
&end
&end
&end
&poisson
psolver wavelet
periodic none
&end
&mgrid
cutoff 1000
rel_cutoff 50
&end
&scf
scf_guess atomic
eps_scf 1.0e-7
max_scf 5
eps_diis 0.1
&ot on
minimizer cg
linesearch adapt
preconditioner full_single_inverse
max_scf_diis 50
&end ot
&outer_scf
eps_scf 1.0e-7
max_scf 3
&end outer_scf
&print
&restart on
&end
&restart_history off
&end
&end
&end
&print
&trexio
&end
&mo
energies true
occnums false
cartesian false
coefficients true
&each
qs_scf 0
&end
&end mo
&overlap_condition on
diagonalization .true.
&end overlap_condition
&end print
&end dft
&end
## ccecp-cc-pVTZ
## SOURCE: https://pseudopotentiallibrary.org/recipes/H/ccECP/H.cc-pVTZ.nwchem
## SOURCE: https://pseudopotentiallibrary.org/recipes/O/ccECP/O.cc-pVTZ.nwchem
#####
H ccecp-cc-pVTZ
6
1 0 0 8 1
23.843185 0.00411490
10.212443 0.01046440
4.374164 0.02801110
1.873529 0.07588620
0.802465 0.18210620
0.343709 0.34852140
0.147217 0.37823130
0.063055 0.11642410
1 0 0 1 1
0.091791 1.00000000
1 0 0 1 1
0.287637 1.00000000
1 1 1 1 1
0.393954 1.00000000
1 1 1 1 1
1.462694 1.00000000
1 2 2 1 1
1.065841 1.0000000
#####
O ccecp-cc-pVTZ
9
2 0 0 9 1
54.775216 -0.0012444
25.616801 0.0107330
11.980245 0.0018889
6.992317 -0.1742537
2.620277 0.0017622
1.225429 0.3161846
0.577797 0.4512023
0.268022 0.3121534
0.125346 0.0511167
2 0 0 1 1
1.686633 1.0000000
2 0 0 1 1
0.237997 1.0000000
2 1 1 9 1
22.217266 0.0104866
10.74755 0.0366435
5.315785 0.0803674
2.660761 0.1627010
1.331816 0.2377791
0.678626 0.2811422
0.333673 0.2643189
0.167017 0.1466014
0.083598 0.0458145
2 1 1 1 1
0.600621 1.0000000
2 1 1 1 1
0.184696 1.0000000
3 2 2 1 1
2.404278 1.0000000
3 2 2 1 1
0.669340 1.0000000
4 3 3 1 1
1.423104 1.0000000
## ccecp-cc-pVTZ
## SOURCE: https://pseudopotentiallibrary.org/recipes/H/ccECP/H.ccECP.nwchem
## SOURCE: https://pseudopotentiallibrary.org/recipes/O/ccECP/O.ccECP.nwchem
ccECP
H nelec 0
H ul
1 21.24359508259891 1.00000000000000
3 21.24359508259891 21.24359508259891
2 21.77696655044365 -10.85192405303825
H S
2 1.000000000000000 0.00000000000000
O nelec 2
O ul
1 12.30997 6.000000
3 14.76962 73.85984
2 13.71419 -47.87600
O S
2 13.65512 85.86406
#####
END ccECP
Launch it on a terminal. You may get E = -17.146760756813901 Ha [LDA].
% mkdir -p 01DFT/02cp2k && cd 01DFT/02cp2k
% cp2k.ssmp -i water_ccecp_ccpvtz.inp -o water_ccecp_ccpvtz.out
% mv water_ccecp_ccpvtz-TREXIO.h5 water_ccecp_ccpvtz.h5
% cd ../..
[!NOTE] One can start from any HF/DFT code that can dump
TREX-IOfile. See the TREX-IO website for the detail.
You can see the content of a TREXIO file by jqmc-tool
% jqmc-tool hamiltonian show-info 01DFT/01pyscf-forge/water_ccecp_ccpvtz.h5
Structure_data
PBC flag = False
--------------------------------------------------
element, label, Z, x, y, z in cartesian (Bohr)
--------------------------------------------------
O, O, 8.0, 9.44863062, 13.50601812, 14.45823978
H, H, 1.0, 7.68753060, 13.12032124, 14.29343676
H, H, 1.0, 10.16717442, 13.03337116, 12.86522522
--------------------------------------------------
Coulomb_potential_data
ecp_flag = True
...
You can also see all the variables stored in hamiltonian_data.h5 by h5dump (or the interactive viewer h5tui) if it is installed on your machine.
% h5dump 01DFT/01pyscf-forge/water_ccecp_ccpvtz.h5
HDF5 "hamiltonian_data.h5" {
GROUP "/" {
ATTRIBUTE "_class_name" {
DATATYPE H5T_STRING {
STRSIZE H5T_VARIABLE;
STRPAD H5T_STR_NULLTERM;
CSET H5T_CSET_UTF8;
CTYPE H5T_C_S1;
}
DATASPACE SCALAR
DATA {
(0): "Hamiltonian_data"
}
}
...
Optimize a trial WF (VMC)#
The next step is to optimize variational parameters included in the generated wavefunction. More in details, here, we optimize the two-body Jastrow parameter and the matrix elements of the three-body Jastrow parameter.
Create a directory for the VMC optimization and move into it. Then generate a template file using jqmc-tool. Please directly edit vmc.toml if you want to change a parameter.
% mkdir 02vmc_JSD && cd 02vmc_JSD
% cp ../01DFT/01pyscf-forge/water_ccecp_ccpvtz.h5 . # or cp ../01DFT/02cp2k/water_ccecp_ccpvtz.h5 .
% jqmc-tool trexio convert-to water_ccecp_ccpvtz.h5 -j2 1.0 -j3 mo
> Hamiltonian data is saved in hamiltonian_data.h5.
% jqmc-tool vmc generate-input -g
> Input file is generated: vmc.toml
The generated hamiltonian_data.h5 is a wavefunction file with the jqmc format. -j2 specifies the initial value of the two-body Jastrow parameter and -j3 specifies the basis set (ao:atomic orbital or mo:molecular orbital) for the three-body Jastrow part; ao has several choices, so please refer to the command-line reference for the available options.
[control]
job_type = "vmc" # Specify the job type. "mcmc", "vmc", "lrdmc-bra", or "lrdmc-tau".
mcmc_seed = 34456 # Random seed for MCMC
number_of_walkers = 4 # Number of walkers per MPI process
max_time = 86400 # Maximum time in sec.
restart = false
restart_chk = "restart.h5" # Restart checkpoint file. If restart is True, this file is used.
hamiltonian_h5 = "hamiltonian_data.h5" # Hamiltonian checkpoint file. If restart is False, this file is used.
verbosity = "high" # Verbosity level. "low" or "high"
[vmc]
num_mcmc_steps = 500 # Number of observable measurement steps per MPI and Walker. Every local energy and other observeables are measured num_mcmc_steps times in total. The total number of measurements is num_mcmc_steps * mpi_size * number_of_walkers.
num_mcmc_per_measurement = 40 # Number of MCMC updates per measurement. Every local energy and other observeables are measured every this steps.
num_mcmc_warmup_steps = 0 # Number of observable measurement steps for warmup (i.e., discarged).
num_mcmc_bin_blocks = 5 # Number of blocks for binning per MPI and Walker. i.e., the total number of binned blocks is num_mcmc_bin_blocks * mpi_size * number_of_walkers.
Dt = 2.0 # Step size for the MCMC update (bohr).
epsilon_AS = 0.0 # the epsilon parameter used in the Attacalite-Sandro regulatization method.
num_opt_steps = 300 # Number of optimization steps.
wf_dump_freq = 1 # Frequency of wavefunction (i.e. hamiltonian_data) dump.
optimizer_kwargs = { method = "sr", delta = 0.15, epsilon = 0.001, cg_flag = true, cg_max_iter = 10000, cg_tol = 1e-6, use_lm = true } # SR optimizer configuration (method plus step/regularization).
opt_J1_param = false
opt_J2_param = true
opt_J3_param = true
opt_JNN_param = false
opt_lambda_param = false
opt_with_projected_MOs = false
opt_J3_basis_exp = true
opt_J3_basis_coeff = true
opt_lambda_basis_exp = false
opt_lambda_basis_coeff = false
Please lunch the job.
% jqmc vmc.toml > out_vmc 2> out_vmc.e # w/o MPI on CPU
% mpirun -np 4 jqmc vmc.toml > out_vmc 2> out_vmc.e # w/ MPI on CPU
% mpiexec -n 4 -map-by ppr:4:node jqmc vmc.toml > out_vmc 2> out_vmc.e # w/ MPI on GPU, depending the queueing system.
You can see the outcome using jqmc-tool.
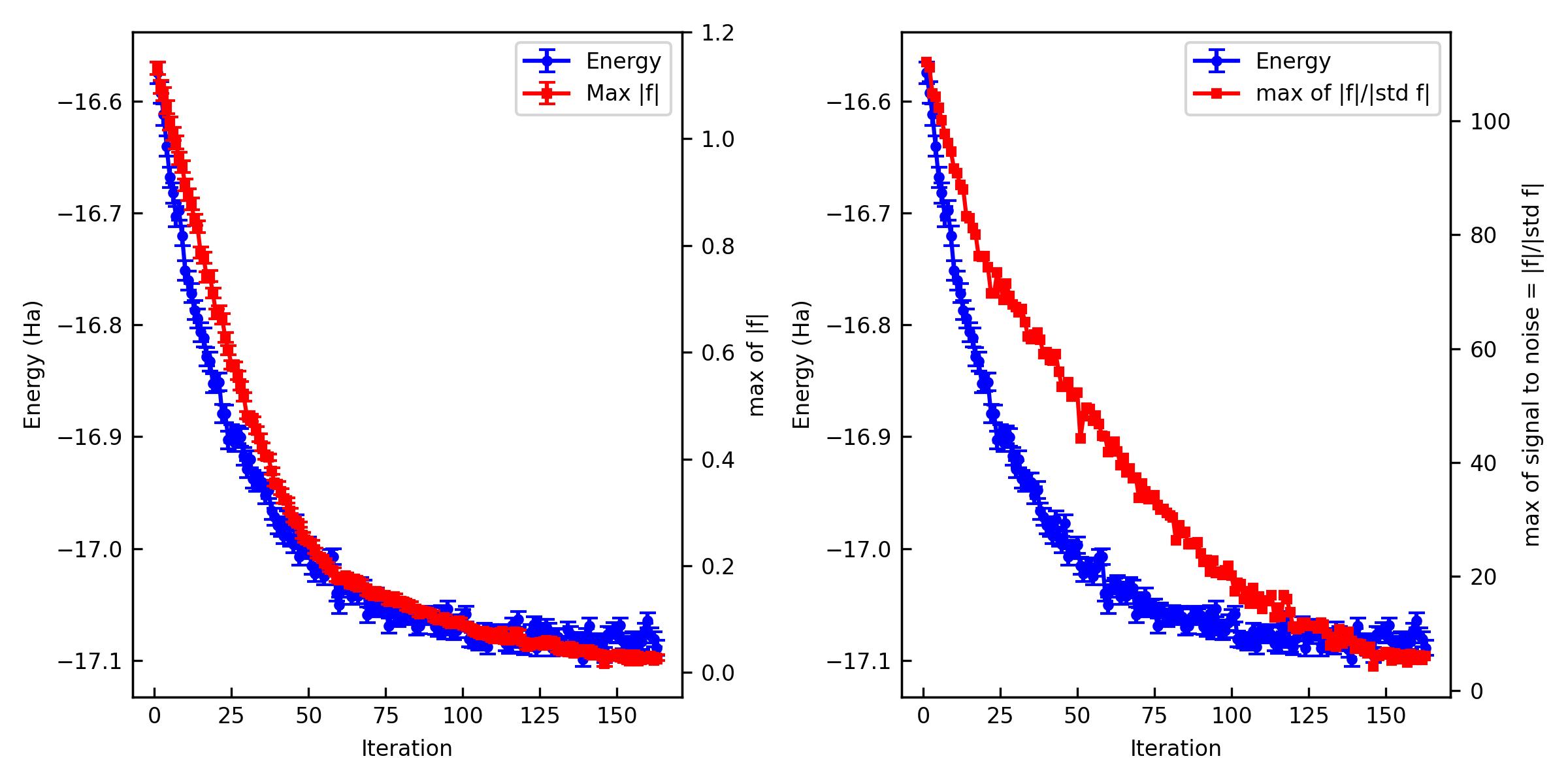
% jqmc-tool vmc analyze-output out_vmc
------------------------------------------------------
Iter E (Ha) Max f (Ha) Max of signal to noise of f
------------------------------------------------------
1 -16.5743(97) +1.132(12) 110.335
2 -16.5921(96) +1.097(12) 109.386
3 -16.6117(95) +1.084(12) 104.849
4 -16.6399(93) +1.059(12) 104.245
5 -16.6678(91) +1.029(12) 102.269
6 -16.6819(90) +1.009(12) 100.122
7 -16.7028(90) +0.993(12) 97.718
8 -16.6974(87) +0.963(12) 96.040
9 -16.7200(87) +0.948(11) 94.616
10 -16.7511(87) +0.914(11) 91.563
11 -16.7602(85) +0.895(11) 90.790
12 -16.7714(85) +0.878(11) 88.758
13 -16.7867(85) +0.848(10) 87.979
14 -16.7940(86) +0.835(11) 83.253
15 -16.8065(83) +0.787(10) 82.875
16 -16.8112(83) +0.777(10) 81.196
17 -16.8284(82) +0.741(10) 80.058
18 -16.8327(83) +0.743(10) 76.214
------------------------------------------------------
The important criteria are Max f and Max of signal to noise of f. Max f should be zero within the error bar. A practical criterion for the signal to noise is < 4~5 because it means that all the residual forces are zero in the statistical sense.
[!TIP] If the optimization does not converge well, try the following:
Adjust the
deltaparameter inoptimizer_kwargs. A smallerdelta(e.g.,0.05) makes the optimization more conservative but stable, while a larger one (e.g.,0.30) is more aggressive but may cause instabilities.Set
use_lm = falseinoptimizer_kwargsto disable the Linear Method (LM) and use a fixed step size instead. This can sometimes improve convergence for difficult cases.
You can also plot them and make a figure.
% jqmc-tool vmc analyze-output out_vmc -p -s vmc.jpg

If the optimization is not converged. You can restart the optimization.
[control]
...
restart = true
restart_chk = "restart.h5" # Restart checkpoint file. If restart is True, this file is used.
...
% jqmc vmc.toml > out_vmc_cont 2> out_vmc_cont.e
You can see and plot the outcome using jqmc-tool.
% jqmc-tool vmc analyze-output out_vmc out_vmc_cont
Compute Energy (MCMC)#
The next step is MCMC calculation. Create a directory for the MCMC calculation and move into it. Then generate a template file using jqmc-tool. Please directly edit mcmc.toml if you want to change a parameter.
% cd ..
% mkdir 03mcmc_JSD && cd 03mcmc_JSD
% cp ../02vmc_JSD/hamiltonian_data.h5 . # use the optimized hamiltonian_data.h5
% jqmc-tool mcmc generate-input -g
> Input file is generated: mcmc.toml
[control]
job_type = "mcmc" # Specify the job type. "mcmc", "vmc", "lrdmc-bra", or "lrdmc-tau".
mcmc_seed = 34456 # Random seed for MCMC
number_of_walkers = 300 # Number of walkers per MPI process
max_time = 86400 # Maximum time in sec.
restart = false
restart_chk = "restart.h5" # Restart checkpoint file. If restart is True, this file is used.
hamiltonian_h5 = "hamiltonian_data.h5" # Hamiltonian checkpoint file. If restart is False, this file is used.
verbosity = "low" # Verbosity level. "low" or "high"
[mcmc]
num_mcmc_steps = 90000 # Number of observable measurement steps per MPI and Walker. Every local energy and other observeables are measured num_mcmc_steps times in total. The total number of measurements is num_mcmc_steps * mpi_size * number_of_walkers.
num_mcmc_per_measurement = 40 # Number of MCMC updates per measurement. Every local energy and other observeables are measured every this steps.
num_mcmc_warmup_steps = 0 # Number of observable measurement steps for warmup (i.e., discarged).
num_mcmc_bin_blocks = 5 # Number of blocks for binning per MPI and Walker. i.e., the total number of binned blocks is num_mcmc_bin_blocks * mpi_size * number_of_walkers.
Dt = 2.0 # Step size for the MCMC update (bohr).
epsilon_AS = 0.0 # the epsilon parameter used in the Attacalite-Sandro regulatization method.
The final step is to run the jqmc job w/ or w/o MPI on a CPU or GPU machine (via a job queueing system such as PBS).
% jqmc mcmc.toml > out_mcmc 2> out_mcmc.e # w/o MPI on CPU
% mpirun -np 4 jqmc mcmc.toml > out_mcmc 2> out_mcmc.e # w/ MPI on CPU
% mpiexec -n 4 -map-by ppr:4:node jqmc mcmc.toml > out_mcmc 2> out_mcmc.e # w/ MPI on GPU, depending the queueing system.
You may get E = -16.97202 +- 0.000288 Ha and Var(E) = 1.99127 +- 0.000901 Ha^2 [VMC w/ Jastrow factors]
Compute Energy (LRDMC)#
The final step is LRDMC calculation. Create a directory for the LRDMC calculation with subdirectories for each lattice parameter \(a\). Then generate a template file using jqmc-tool. Please directly edit lrdmc.toml if you want to change a parameter.
% cd ..
% mkdir -p 04lrdmc_JSD/alat_0.30
% cd 04lrdmc_JSD
% cp ../03mcmc_JSD/hamiltonian_data.h5 . # use the optimized hamiltonian_data.h5
% cd alat_0.30
% jqmc-tool lrdmc generate-input -g
> Input file is generated: lrdmc.toml
[control]
job_type = 'lrdmc-bra'
mcmc_seed = 34467
number_of_walkers = 300
max_time = 10400
restart = false
restart_chk = 'restart.h5'
hamiltonian_h5 = '../hamiltonian_data.h5'
verbosity = 'low'
[lrdmc-bra]
num_mcmc_steps = 40000
num_mcmc_per_measurement = 30
alat = 0.30
non_local_move = "dltmove"
num_gfmc_warmup_steps = 50
num_gfmc_bin_blocks = 50
num_gfmc_collect_steps = 20
E_scf = -17.00
LRDMC energy is biased with the discretized lattice space (\(a\)) by \(O(a^2)\). It means that, to get an unbiased energy, one should compute LRDMC energies with several lattice parameters (\(a\)) extrapolate them into \(a \rightarrow 0\).
The final step is to run the jqmc jobs with several \(a\), e.g.
% cd alat_0.30
% jqmc lrdmc.toml > out_lrdmc 2> out_lrdmc.e
You may get:
a (bohr) |
E (Ha) |
Var (Ha^2) |
|---|---|---|
0.10 |
-17.23667 \(\pm\) 0.000277 |
1.61602 +- 0.000643 |
0.15 |
-17.23821 \(\pm\) 0.000286 |
1.61417 +- 0.000773 |
0.20 |
-17.24097 \(\pm\) 0.000325 |
1.69783 +- 0.079714 |
0.25 |
-17.24402 \(\pm\) 0.000270 |
1.63235 +- 0.006160 |
0.30 |
-17.24786 \(\pm\) 0.000269 |
1.78517 +- 0.066418 |
You can extrapolate them into \(a \rightarrow 0\) by jqmc-tool
% jqmc-tool lrdmc extrapolate-energy alat_0.10/restart.h5 alat_0.15/restart.h5 alat_0.20/restart.h5 alat_0.25/restart.h5 alat_0.30/restart.h5 -s lrdmc_ext.jpg
> ------------------------------------------------------------------------
> Read restart checkpoint files from ['alat_0.10/restart.h5', 'alat_0.15/restart.h5', 'alat_0.20/restart.h5', 'alat_0.25/restart.h5', 'alat_0.30/restart.h5'].
> Total number of binned samples = 5
> For a = 0.1 bohr: E = -17.236661112856858 +- 0.00032635704517869677 Ha.
> Total number of binned samples = 5
> For a = 0.15 bohr: E = -17.2382052864809 +- 0.00029723715520135464 Ha.
> Total number of binned samples = 5
> For a = 0.2 bohr: E = -17.240993162088692 +- 0.00025740878490131835 Ha.
> Total number of binned samples = 5
> For a = 0.25 bohr: E = -17.24401036198691 +- 0.0002365677591168457 Ha.
> Total number of binned samples = 5
> For a = 0.3 bohr: E = -17.247804041851044 +- 0.00032247173445041217 Ha.
> ------------------------------------------------------------------------
> Extrapolation of the energy with respect to a^2.
> Polynomial order = 2.
> For a -> 0 bohr: E = -17.235093943871842 +- 0.00045277462865289897 Ha.
> ------------------------------------------------------------------------
> Graph is saved in lrdmc_ext.jpg.
> ------------------------------------------------------------------------
> Extrapolation is finished.
You may get E = -17.235094 +- 0.00045 Ha [LRDMC a -> 0]. This is the final result of this tutorial.

jqmc-example02:#
Total energy of water molecule with a neural-network Jastrow factor. One can learn how to obtain the VMC energy of the water molecule, starting from scratch (i.e., DFT calculation), with cartesian GTOs and a SchNet-type NN Jastrow.
Setup#
Create a working directory and move into it.
% mkdir water_nn_qmc && cd water_nn_qmc
Generate a trial WF#
The first step of ab-initio QMC is to generate a trial WF by a mean-field theory such as DFT/HF. jQMC interfaces with other DFT/HF software packages via TREX-IO.
One of the easiest ways to produce it is using pySCF as a converter to the TREX-IO format is implemented.
The following is a script to run a HF calculation for the water molecule using pyscf-forge and dump it as a TREX-IO file.
[!NOTE] This
TREX-IOconverter is being develped in thepySCF-forgerepository and not yet merged to the main repository ofpySCF. Please usepySCF-forge.
from pyscf import gto, scf
from pyscf.tools import trexio
filename = "water_ccecp_ccpvtz.h5"
mol = gto.Mole()
mol.verbose = 5
mol.atom = """
O 5.00000000 7.14707700 7.65097100
H 4.06806600 6.94297500 7.56376100
H 5.38023700 6.89696300 6.80798400
"""
mol.basis = "ccecp-ccpvtz"
mol.unit = "A"
mol.ecp = "ccecp"
mol.charge = 0
mol.spin = 0
mol.symmetry = False
mol.cart = True
mol.output = "water.out"
mol.build()
mf = scf.HF(mol)
mf.max_cycle = 200
mf_scf = mf.kernel()
trexio.to_trexio(mf, filename)
Launch it on a terminal. You may get E = -16.9450309201805 Ha [Hartree-Forck].
% mkdir 01DFT && cd 01DFT
% python run_pyscf.py
% cd ..
Next step is to convert the TREXIO file to the jqmc format using jqmc-tool in the VMC optimization directory (see below).
Optimize a trial WF (VMC)#
The next step is to optimize variational parameters included in the generated wavefunction. More in details, here, we optimize the two-body Jastrow parameter and the neural-network (SchNet-type) Jastrow parameters.
Create a directory for the VMC optimization and move into it. Then generate a template file using jqmc-tool. Please directly edit vmc.toml if you want to change a parameter.
% mkdir 02vmc && cd 02vmc
% cp ../01DFT/water_ccecp_ccpvtz.h5 .
% jqmc-tool trexio convert-to water_ccecp_ccpvtz.h5 -j2 1.0 -j3 none -j-nn-type schnet -jp hidden_dim=16 -jp num_layers=3 -jp num_rbf=8
> Hamiltonian data is saved in hamiltonian_data.h5.
% jqmc-tool vmc generate-input -g
> Input file is generated: vmc.toml
The generated hamiltonian_data.h5 is a wavefunction file with the jqmc format. -j2 specifies the initial value of the two-body Jastrow parameter and -j3 specifies the basis set (ao:atomic orbital or mo:molecular orbital) for the three-body Jastrow part (here is none), and -j-nn-type specifies the type of neural-network Jastrow factor.
Neural Network Jastrow (SchNet-type)#
The schnet option for -j-nn-type enables a neural-network-based many-body Jastrow factor. This implementation is heavily inspired by the PauliNet architecture (specifically the Jastrow factor part described in Hermann et al., Nature Chemistry 12, 891-897 (2020)). It uses a graph neural network to capture complex electron-electron and electron-nucleus correlations. For more implementation details, please refer to the NNJastrow class and Jastrow_NN_data dataclass in jqmc/jastrow_factor.py.
Hyperparameters#
The hyperparameters specified via -jp (e.g., -jp hidden_dim=16) control the capacity and computational cost of the neural network:
hidden_dim(default: 64): The size of the feature vectors (embeddings) for electrons and nuclei. Larger values allow the network to learn more complex representations but increase computational cost.num_layers(default: 3): The number of message-passing interaction blocks. More layers allow information to propagate further across the molecular graph (i.e., capturing higher-order correlations), but make the network deeper and more expensive to evaluate.num_rbf(default: 32): The number of radial basis functions used to expand inter-particle distances. A larger number provides higher resolution for spatial features.cutoff(default: 5.0): The cutoff distance (in Bohr) for the radial basis functions. Interactions beyond this distance are smoothly decayed to zero.
[control]
job_type = "vmc" # Specify the job type. "mcmc", "vmc", "lrdmc-bra", or "lrdmc-tau".
mcmc_seed = 34456 # Random seed for MCMC
number_of_walkers = 4 # Number of walkers per MPI process
max_time = 42000 # Maximum time in sec.
restart = false
restart_chk = "restart.h5" # Restart checkpoint file. If restart is True, this file is used.
hamiltonian_h5 = "hamiltonian_data.h5" # Hamiltonian checkpoint file. If restart is False, this file is used.
verbosity = "low" # Verbosity level. "low", "high", "devel", "mpi-low", "mpi-high", "mpi-devel"
[vmc]
num_mcmc_steps = 100 # Number of observable measurement steps per MPI and Walker. Every local energy and other observeables are measured num_mcmc_steps times in total. The total number of measurements is num_mcmc_steps * mpi_size * number_of_walkers.
num_mcmc_per_measurement = 40 # Number of MCMC updates per measurement. Every local energy and other observeables are measured every this steps.
num_mcmc_warmup_steps = 0 # Number of observable measurement steps for warmup (i.e., discarged).
num_mcmc_bin_blocks = 1 # Number of blocks for binning per MPI and Walker. i.e., the total number of binned blocks is num_mcmc_bin_blocks * mpi_size * number_of_walkers.
Dt = 2.0 # Step size for the MCMC update (bohr).
epsilon_AS = 0.0 # the epsilon parameter used in the Attacalite-Sandro regulatization method.
num_opt_steps = 500 # Number of optimization steps.
wf_dump_freq = 50 # Frequency of wavefunction (i.e. hamiltonian_data) dump.
opt_J1_param = false
opt_J2_param = true
opt_J3_param = false
opt_JNN_param = true
opt_lambda_param = false
opt_with_projected_MOs = false
opt_J3_basis_exp = false
opt_J3_basis_coeff = false
opt_lambda_basis_exp = false
opt_lambda_basis_coeff = false
optimizer_kwargs = { method = "adam" }
Please lunch the job.
% jqmc vmc.toml > out_vmc 2> out_vmc.e # w/o MPI on CPU
% mpirun -np 4 jqmc vmc.toml > out_vmc 2> out_vmc.e # w/ MPI on CPU
% mpiexec -n 4 -map-by ppr:4:node jqmc vmc.toml > out_vmc 2> out_vmc.e # w/ MPI on GPU, depending the queueing system.
You can see the outcome using jqmc-tool.
% jqmc-tool vmc analyze-output out_vmc
------------------------------------------------------
Iter E (Ha) Max f (Ha) Max of signal to noise of f
------------------------------------------------------
1 -16.681(17) +1.040(19) 82.811
2 -16.619(16) +0.901(19) 78.463
3 -16.639(15) +0.915(18) 79.656
4 -16.694(15) +0.901(18) 80.446
5 -16.724(15) +0.860(17) 76.196
6 -16.753(15) +0.839(17) 83.615
7 -16.735(15) +0.828(18) 73.593
...
------------------------------------------------------
The important criteria are Max f and Max of signal to noise of f. Max f should be zero within the error bar. A practical criterion for the signal to noise is < 4~5 because it means that all the residual forces are zero in the statistical sense.
You can also plot them and make a figure.
% jqmc-tool vmc analyze-output out_vmc -p -s vmc.jpg

If the optimization is not converged. You can restart the optimization.
[control]
...
restart = true
restart_chk = "restart.h5" # Restart checkpoint file. If restart is True, this file is used.
...
% jqmc vmc.toml > out_vmc_cont 2> out_vmc_cont.e
You can see and plot the outcome using jqmc-tool.
% jqmc-tool vmc analyze-output out_vmc out_vmc_cont
Compute Energy and Forces (MCMC)#
The next step is MCMC calculation. Create a directory for the MCMC calculation and move into it. Then generate a template file using jqmc-tool. Please directly edit mcmc.toml if you want to change a parameter.
% cd ..
% mkdir 03mcmc && cd 03mcmc
% cp ../02vmc/hamiltonian_data.h5 . # use the optimized hamiltonian_data.h5
% jqmc-tool mcmc generate-input -g
> Input file is generated: mcmc.toml
[control]
job_type = "mcmc" # Specify the job type. "mcmc", "vmc", "lrdmc-bra", or "lrdmc-tau".
mcmc_seed = 34456 # Random seed for MCMC
number_of_walkers = 300 # Number of walkers per MPI process
max_time = 86400 # Maximum time in sec.
restart = false
restart_chk = "restart.h5" # Restart checkpoint file. If restart is True, this file is used.
hamiltonian_h5 = "hamiltonian_data.h5" # Hamiltonian checkpoint file. If restart is False, this file is used.
verbosity = "low" # Verbosity level. "low" or "high"
[mcmc]
num_mcmc_steps = 90000 # Number of observable measurement steps per MPI and Walker. Every local energy and other observeables are measured num_mcmc_steps times in total. The total number of measurements is num_mcmc_steps * mpi_size * number_of_walkers.
num_mcmc_per_measurement = 40 # Number of MCMC updates per measurement. Every local energy and other observeables are measured every this steps.
num_mcmc_warmup_steps = 0 # Number of observable measurement steps for warmup (i.e., discarged).
num_mcmc_bin_blocks = 5 # Number of blocks for binning per MPI and Walker. i.e., the total number of binned blocks is num_mcmc_bin_blocks * mpi_size * number_of_walkers.
Dt = 2.0 # Step size for the MCMC update (bohr).
epsilon_AS = 0.0 # the epsilon parameter used in the Attacalite-Sandro regulatization method.
atomic_force = true
use_swct = true # Apply Space Warp Coordinate Transformation (SWCT) to atomic forces.
The final step is to run the jqmc job w/ or w/o MPI on a CPU or GPU machine (via a job queueing system such as PBS).
% jqmc mcmc.toml > out_mcmc 2> out_mcmc.e # w/o MPI on CPU
% mpirun -np 4 jqmc mcmc.toml > out_mcmc 2> out_mcmc.e # w/ MPI on CPU
% mpiexec -n 4 -map-by ppr:4:node jqmc mcmc.toml > out_mcmc 2> out_mcmc.e # w/ MPI on GPU, depending the queueing system.
You may get E = -17.209812 +- 0.000288 Ha and Var(E) = X.XXXXX +- 0.000901 Ha^2 [VMC w/ NN Jastrow factors]. It depends on your hyperparameter choice.
jqmc-example03:#
Projected-MO optimization workflow for the water molecule. One can learn how to optimize variational parameters (Jastrow factors + lambda matrix) using opt_with_projected_MOs = true, starting from the same PySCF water setup as example01.
Setup#
Create a working directory and move into it.
% mkdir water_projected_mo && cd water_projected_mo
Generate a trial WF#
The first step of ab-initio QMC is to generate a trial WF by a mean-field theory such as DFT/HF. jQMC interfaces with other DFT/HF software packages via TREX-IO.
One of the easiest ways to produce it is using pySCF as a converter to the TREX-IO format is implemented.
The following is a script to run a HF calculation for the water molecule using pyscf-forge and dump it as a TREX-IO file.
[!NOTE] This
TREX-IOconverter is being develped in thepySCF-forgerepository and not yet merged to the main repository ofpySCF. Please usepySCF-forge.
from pyscf import gto, scf
from pyscf.tools import trexio
filename = "water_ccecp_ccpvtz.h5"
mol = gto.Mole()
mol.verbose = 5
mol.atom = """
O 5.00000000 7.14707700 7.65097100
H 4.06806600 6.94297500 7.56376100
H 5.38023700 6.89696300 6.80798400
"""
mol.basis = "ccecp-ccpvtz"
mol.unit = "A"
mol.ecp = "ccecp"
mol.charge = 0
mol.spin = 0
mol.symmetry = False
mol.cart = True
mol.output = "water.out"
mol.build()
mf = scf.HF(mol)
mf.max_cycle = 200
mf_scf = mf.kernel()
trexio.to_trexio(mf, filename)
Launch it on a terminal. You may get E = -16.9450309201805 Ha [Hartree-Forck].
% cd 01DFT
% python run_pyscf.py
% cd ..
[!NOTE] One can start from any HF/DFT code that can dump
TREX-IOfile. See the TREX-IO website for the detail.
Optimize a trial WF (VMC) with Projected MOs#
In this example, we optimize the two-body Jastrow parameter, the three-body Jastrow parameter, and the lambda matrix (determinantal part) using projected MO optimization (opt_with_projected_MOs = true).
The projected-MO approach restricts the lambda-matrix update to a subspace spanned by the occupied molecular orbitals, preventing the optimization from exploring unphysical (virtual-virtual) directions. This leads to a more stable and efficient optimization of the determinantal coefficients together with the Jastrow factors.
Create a directory for the VMC optimization and move into it. Then generate a template file using jqmc-tool. Please directly edit vmc.toml if you want to change a parameter.
% mkdir 02vmc && cd 02vmc
% cp ../01DFT/water_ccecp_ccpvtz.h5 .
% jqmc-tool trexio convert-to water_ccecp_ccpvtz.h5 -j2 1.0 -j3 ao-small
> Hamiltonian data is saved in hamiltonian_data.h5.
% jqmc-tool vmc generate-input -g
> Input file is generated: vmc.toml
The generated hamiltonian_data.h5 is a wavefunction file with the jqmc format. -j2 specifies the initial value of the two-body Jastrow parameter and -j3 specifies the basis set for the three-body Jastrow part; ao-small selects a compact AO basis whose composition depends on the atomic period (e.g., 3s for H, 3s1p for O). Other choices include ao, ao-medium, ao-large, ao-full, and mo; please refer to the command-line reference for the available options.
[control]
job_type = "vmc" # Specify the job type. "mcmc", "vmc", "lrdmc-bra", or "lrdmc-tau".
mcmc_seed = 34456 # Random seed for MCMC
number_of_walkers = 4 # Number of walkers per MPI process
max_time = 86400 # Maximum time in sec.
restart = false
restart_chk = "restart.h5" # Restart checkpoint file. If restart is True, this file is used.
hamiltonian_h5 = "hamiltonian_data.h5" # Hamiltonian checkpoint file. If restart is False, this file is used.
verbosity = "low" # Verbosity level. "low" or "high"
[vmc]
num_mcmc_steps = 500 # Number of observable measurement steps per MPI and Walker. Every local energy and other observeables are measured num_mcmc_steps times in total. The total number of measurements is num_mcmc_steps * mpi_size * number_of_walkers.
num_mcmc_per_measurement = 40 # Number of MCMC updates per measurement. Every local energy and other observeables are measured every this steps.
num_mcmc_warmup_steps = 0 # Number of observable measurement steps for warmup (i.e., discarged).
num_mcmc_bin_blocks = 5 # Number of blocks for binning per MPI and Walker. i.e., the total number of binned blocks is num_mcmc_bin_blocks * mpi_size * number_of_walkers.
Dt = 2.0 # Step size for the MCMC update (bohr).
epsilon_AS = 0.0 # the epsilon parameter used in the Attacalite-Sandro regulatization method.
num_opt_steps = 300 # Number of optimization steps.
wf_dump_freq = 1 # Frequency of wavefunction (i.e. hamiltonian_data) dump.
optimizer_kwargs = { method = "sr", delta = 0.15, epsilon = 0.001, cg_flag = true, cg_max_iter = 10000, cg_tol = 1e-6, use_lm = true } # SR optimizer configuration (method plus step/regularization).
opt_J1_param = false
opt_J2_param = true
opt_J3_param = true
opt_JNN_param = false
opt_lambda_param = true
opt_with_projected_MOs = true
opt_J3_basis_exp = false
opt_J3_basis_coeff = false
opt_lambda_basis_exp = false
opt_lambda_basis_coeff = false
The key differences from example01 are:
opt_lambda_param = true– enables optimization of the lambda matrix (determinantal coefficients).opt_with_projected_MOs = true– restricts the lambda-matrix update to the occupied MO subspace, preventing virtual-virtual mixing and improving stability.-j3 ao-small– uses a compact AO-based three-body Jastrow instead ofmo.
Please lunch the job.
% jqmc vmc.toml > out_vmc 2> out_vmc.e # w/o MPI on CPU
% mpirun -np 4 jqmc vmc.toml > out_vmc 2> out_vmc.e # w/ MPI on CPU
% mpiexec -n 4 -map-by ppr:4:node jqmc vmc.toml > out_vmc 2> out_vmc.e # w/ MPI on GPU, depending the queueing system.
You can see the outcome using jqmc-tool.
% jqmc-tool vmc analyze-output out_vmc
The important criteria are Max f and Max of signal to noise of f. Max f should be zero within the error bar. A practical criterion for the signal to noise is < 4~5 because it means that all the residual forces are zero in the statistical sense.
[!TIP] If the optimization does not converge well, try the following:
Adjust the
deltaparameter inoptimizer_kwargs. A smallerdelta(e.g.,0.05) makes the optimization more conservative but stable, while a larger one (e.g.,0.30) is more aggressive but may cause instabilities.Set
use_lm = falseinoptimizer_kwargsto disable the Linear Method (LM) and use a fixed step size instead. This can sometimes improve convergence for difficult cases.
You can also plot them and make a figure.
% jqmc-tool vmc analyze-output out_vmc -p -s vmc.jpg
If the optimization is not converged. You can restart the optimization.
[control]
...
restart = true
restart_chk = "restart.h5" # Restart checkpoint file. If restart is True, this file is used.
...
% jqmc vmc.toml > out_vmc_cont 2> out_vmc_cont.e
You can see and plot the outcome using jqmc-tool.
% jqmc-tool vmc analyze-output out_vmc out_vmc_cont
Compute Energy (MCMC)#
The next step is MCMC calculation. Create a directory for the MCMC calculation and move into it. Then generate a template file using jqmc-tool. Please directly edit mcmc.toml if you want to change a parameter.
% cd ..
% mkdir 03mcmc && cd 03mcmc
% cp ../02vmc/hamiltonian_data.h5 . # use the optimized hamiltonian_data.h5
% jqmc-tool mcmc generate-input -g
> Input file is generated: mcmc.toml
[control]
job_type = "mcmc" # Specify the job type. "mcmc", "vmc", "lrdmc-bra", or "lrdmc-tau".
mcmc_seed = 34456 # Random seed for MCMC
number_of_walkers = 300 # Number of walkers per MPI process
max_time = 86400 # Maximum time in sec.
restart = false
restart_chk = "restart.h5" # Restart checkpoint file. If restart is True, this file is used.
hamiltonian_h5 = "hamiltonian_data.h5" # Hamiltonian checkpoint file. If restart is False, this file is used.
verbosity = "low" # Verbosity level. "low" or "high"
[mcmc]
num_mcmc_steps = 90000 # Number of observable measurement steps per MPI and Walker. Every local energy and other observeables are measured num_mcmc_steps times in total. The total number of measurements is num_mcmc_steps * mpi_size * number_of_walkers.
num_mcmc_per_measurement = 40 # Number of MCMC updates per measurement. Every local energy and other observeables are measured every this steps.
num_mcmc_warmup_steps = 0 # Number of observable measurement steps for warmup (i.e., discarged).
num_mcmc_bin_blocks = 5 # Number of blocks for binning per MPI and Walker. i.e., the total number of binned blocks is num_mcmc_bin_blocks * mpi_size * number_of_walkers.
Dt = 2.0 # Step size for the MCMC update (bohr).
epsilon_AS = 0.0 # the epsilon parameter used in the Attacalite-Sandro regulatization method.
The final step is to run the jqmc job w/ or w/o MPI on a CPU or GPU machine (via a job queueing system such as PBS).
% jqmc mcmc.toml > out_mcmc 2> out_mcmc.e # w/o MPI on CPU
% mpirun -np 4 jqmc mcmc.toml > out_mcmc 2> out_mcmc.e # w/ MPI on CPU
% mpiexec -n 4 -map-by ppr:4:node jqmc mcmc.toml > out_mcmc 2> out_mcmc.e # w/ MPI on GPU, depending the queueing system.
The VMC energy obtained with projected-MO optimization should be lower than the example01 result (JSD without lambda optimization), because the determinantal part is also variationally improved.
jqmc-example04:#
Binding energy of the water-water dimer with the JSD and JAGP ansatz. One can learn how to obtain the VMC and LRDMC energies of the water dimer, starting from scratch (i.e., DFT calculation by pySCF), with cartesian GTOs, and one can see how the binding energy is improved by optimizing the nodal surface (i.e., JAGP). The water-water dimer geometry is taken from the S22 dataset[1].
Setup#
This example involves three separate calculations: two water monomers and the dimer. Each follows the same workflow (DFT –> VMC –> MCMC –> LRDMC). We demonstrate the full workflow for the dimer below; repeat the same steps for each monomer by changing the geometry.
Create a working directory and move into it.
% mkdir water_dimer_qmc && cd water_dimer_qmc
The directory structure will look like:
water_dimer_qmc/
├── 01_S22_water_monomer_1/ # monomer 1
│ └── 01DFT/
├── 02_S22_water_monomer_2/ # monomer 2
│ └── 01DFT/
└── 03_S22_water_dimer/ # dimer
├── 01DFT/
├── 02vmc_JSD/
├── 03mcmc_JSD/
├── 04lrdmc_JSD/
├── 05vmc_JAGP/
├── 06mcmc_JAGP/
└── 07lrdmc_JAGP/
Generate trial WFs (DFT)#
The first step of ab-initio QMC is to generate a trial WF by a mean-field theory such as DFT/HF. jQMC interfaces with other DFT/HF software packages via TREX-IO.
[!NOTE] This
TREX-IOconverter is being develped in thepySCF-forgerepository and not yet merged to the main repository ofpySCF. Please usepySCF-forge.
Water dimer#
from pyscf import gto, scf
from pyscf.tools import trexio
filename = f"water_dimer.h5"
mol = gto.Mole()
mol.verbose = 5
mol.atom = f"""
O -1.551007 -0.114520 0.000000
H -1.934259 0.762503 0.000000
H -0.599677 0.040712 0.000000
O 1.350625 0.111469 0.000000
H 1.680398 -0.373741 -0.758561
H 1.680398 -0.373741 0.758561
"""
mol.basis = "ccecp-aug-ccpvtz"
mol.unit = "A"
mol.ecp = "ccecp"
mol.charge = 0
mol.spin = 0
mol.symmetry = False
mol.cart = True
mol.output = f"water_dimer.out"
mol.build()
mf = scf.KS(mol).density_fit()
mf.max_cycle = 200
mf.xc = "LDA_X,LDA_C_PZ"
mf_scf = mf.kernel()
trexio.to_trexio(mf, filename)
Launch it on a terminal. You may get E = -34.3124355699676 Ha [LDA].
% mkdir -p 03_S22_water_dimer/01DFT && cd 03_S22_water_dimer/01DFT
% python run_pyscf.py
% cd ../..
Water monomer 1#
from pyscf import gto, scf
from pyscf.tools import trexio
filename = f'water_monomer_1.h5'
mol = gto.Mole()
mol.verbose = 5
mol.atom = f'''
O -1.551007 -0.114520 0.000000
H -1.934259 0.762503 0.000000
H -0.599677 0.040712 0.000000
'''
mol.basis = 'ccecp-aug-ccpvtz'
mol.unit = 'A'
mol.ecp = 'ccecp'
mol.charge = 0
mol.spin = 0
mol.symmetry = False
mol.cart = True
mol.output = f'water_monomer_1.out'
mol.build()
mf = scf.KS(mol).density_fit()
mf.max_cycle=200
mf.xc = 'LDA_X,LDA_C_PZ'
mf_scf = mf.kernel()
trexio.to_trexio(mf, filename)
% mkdir -p 01_S22_water_monomer_1/01DFT && cd 01_S22_water_monomer_1/01DFT
% python run_pyscf.py
% cd ../..
Water monomer 2#
from pyscf import gto, scf
from pyscf.tools import trexio
filename = f'water_monomer_2.h5'
mol = gto.Mole()
mol.verbose = 5
mol.atom = f'''
O 1.350625 0.111469 0.000000
H 1.680398 -0.373741 -0.758561
H 1.680398 -0.373741 0.758561
'''
mol.basis = 'ccecp-aug-ccpvtz'
mol.unit = 'A'
mol.ecp = 'ccecp'
mol.charge = 0
mol.spin = 0
mol.symmetry = False
mol.cart = True
mol.output = f'water_monomer_2.out'
mol.build()
mf = scf.KS(mol).density_fit()
mf.max_cycle=200
mf.xc = 'LDA_X,LDA_C_PZ'
mf_scf = mf.kernel()
trexio.to_trexio(mf, filename)
% mkdir -p 02_S22_water_monomer_2/01DFT && cd 02_S22_water_monomer_2/01DFT
% python run_pyscf.py
% cd ../..
[!NOTE] One can start from any HF/DFT code that can dump
TREX-IOfile. See the TREX-IO website for the detail.
In the following sections, we demonstrate the full workflow for the water dimer (03_S22_water_dimer). The same steps apply to both monomers – simply adjust the TREXIO filename and working directory accordingly.
% cd 03_S22_water_dimer
Optimize a trial WF (VMC) – JSD#
The next step is to optimize variational parameters included in the generated wavefunction. Here, we optimize the two-body Jastrow parameter and the matrix elements of the three-body Jastrow parameter.
Create a directory for the VMC optimization and move into it. Then generate a template file using jqmc-tool. Please directly edit vmc.toml if you want to change a parameter.
% mkdir 02vmc_JSD && cd 02vmc_JSD
% cp ../01DFT/water_dimer.h5 .
% jqmc-tool trexio convert-to water_dimer.h5 -j2 1.0 -j3 ao-medium
> Hamiltonian data is saved in hamiltonian_data.h5.
% jqmc-tool vmc generate-input -g
> Input file is generated: vmc.toml
The generated hamiltonian_data.h5 is a wavefunction file with the jqmc format. -j2 specifies the initial value of the two-body Jastrow parameter and -j3 specifies the basis set (ao-xxx:atomic orbital or mo:molecular orbital) for the three-body Jastrow part.
[!NOTE] The
-j3option injqmc-toolcontrols how the atomic orbital (AO) basis is partitioned by Gaussian exponent strength for each nucleus.ao-smallselects a compact subset,ao-mediuma moderate one, andao-largea larger one. Usingaoorao-fulldisables any partitioning and includes all AOs. Usingmoincludes all MOs. Please refer to the command-line reference for the available options.
[control]
job_type = "vmc" # Specify the job type. "mcmc", "vmc", "lrdmc-bra", or "lrdmc-tau".
mcmc_seed = 34456 # Random seed for MCMC
number_of_walkers = 1 # Number of walkers per MPI process
max_time = 86400 # Maximum time in sec.
restart = false
restart_chk = "restart.h5" # Restart checkpoint file. If restart is True, this file is used.
hamiltonian_h5 = "hamiltonian_data.h5" # Hamiltonian checkpoint file. If restart is False, this file is used.
verbosity = "low" # Verbosity level. "low" or "high"
[vmc]
num_mcmc_steps = 300 # Number of observable measurement steps per MPI and Walker. Every local energy and other observeables are measured num_mcmc_steps times in total. The total number of measurements is num_mcmc_steps * mpi_size * number_of_walkers.
num_mcmc_per_measurement = 40 # Number of MCMC updates per measurement. Every local energy and other observeables are measured every this steps.
num_mcmc_warmup_steps = 0 # Number of observable measurement steps for warmup (i.e., discarged).
num_mcmc_bin_blocks = 1 # Number of blocks for binning per MPI and Walker. i.e., the total number of binned blocks is num_mcmc_bin_blocks * mpi_size * number_of_walkers.
Dt = 2.0 # Step size for the MCMC update (bohr).
epsilon_AS = 0.0 # the epsilon parameter used in the Attacalite-Sandro regulatization method.
num_opt_steps = 200 # Number of optimization steps.
wf_dump_freq = 20 # Frequency of wavefunction (i.e. hamiltonian_data) dump.
optimizer_kwargs = { method = "sr", delta = 0.15, epsilon = 0.001, cg_flag = true, cg_max_iter = 10000, cg_tol = 1e-6, use_lm = true } # SR optimizer configuration (method plus step/regularization).
opt_J1_param = false
opt_J2_param = true
opt_J3_param = true
opt_JNN_param = false
opt_lambda_param = false
opt_with_projected_MOs = false
opt_J3_basis_exp = false
opt_J3_basis_coeff = false
opt_lambda_basis_exp = false
opt_lambda_basis_coeff = false
Please lunch the job.
% jqmc vmc.toml > out_vmc 2> out_vmc.e # w/o MPI on CPU
% mpirun -np 4 jqmc vmc.toml > out_vmc 2> out_vmc.e # w/ MPI on CPU
% mpiexec -n 4 -map-by ppr:4:node jqmc vmc.toml > out_vmc 2> out_vmc.e # w/ MPI on GPU, depending the queueing system.
You can see the outcome using jqmc-tool.
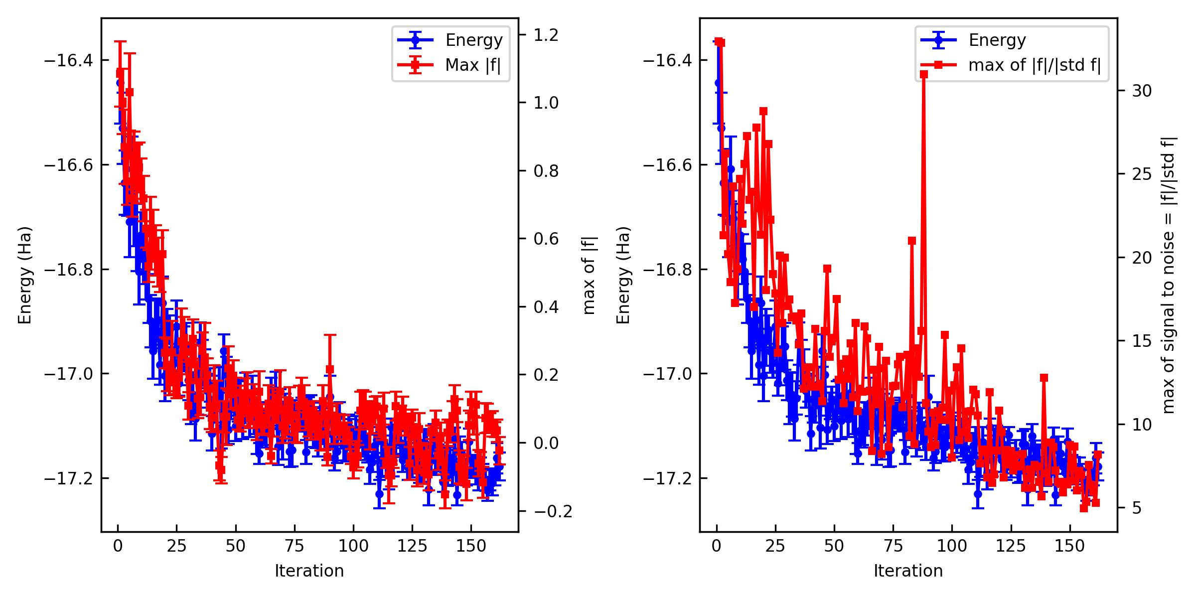
% jqmc-tool vmc analyze-output out_vmc
------------------------------------------------------
Iter E (Ha) Max f (Ha) Max of signal to noise of f
------------------------------------------------------
1 -34.4508(14) -0.262(19) 15.415
2 -34.4517(14) -0.245(25) 18.438
3 -34.4513(13) -0.221(11) 19.472
4 -34.4524(13) -0.238(34) 18.540
5 -34.4520(14) +0.30(26) 15.594
6 -34.4547(13) -0.218(14) 15.248
7 -34.4555(13) -0.186(22) 13.766
8 -34.4592(13) -0.146(13) 15.021
9 -34.4566(13) -0.156(21) 15.199
10 -34.4569(13) +0.57(60) 13.896
...
91 -34.4647(13) -0.14(12) 4.680
92 -34.4657(13) +0.17(18) 3.916
93 -34.4653(12) +0.16(12) 4.260
94 -34.4651(12) -0.15(13) 4.895
95 -34.4670(12) -0.13(14) 4.310
96 -34.4641(13) -0.74(73) 4.135
97 -34.4666(12) -0.12(10) 6.130
98 -34.4670(12) -0.071(77) 4.565
99 -34.4637(13) -0.121(76) 4.880
100 -34.4661(12) -0.14(12) 5.124
------------------------------------------------------
The important criteria are Max f and Max of signal to noise of f. Max f should be zero within the error bar. A practical criterion for the signal to noise is < 4~5 because it means that all the residual forces are zero in the statistical sense.
[!TIP] If the optimization does not converge well, try the following:
Adjust the
deltaparameter inoptimizer_kwargs. A smallerdelta(e.g.,0.05) makes the optimization more conservative but stable, while a larger one (e.g.,0.30) is more aggressive but may cause instabilities.Set
adaptive_learning_rate = falseinoptimizer_kwargsto disable the adaptive learning rate and use a fixed step size instead. This can sometimes improve convergence for difficult cases.
You can also plot them and make a figure.
% jqmc-tool vmc analyze-output out_vmc -p -s vmc_JSD.jpg

If the optimization is not converged. You can restart the optimization.
[control]
...
restart = true
restart_chk = "restart.h5" # Restart checkpoint file. If restart is True, this file is used.
...
% jqmc vmc.toml > out_vmc_cont 2> out_vmc_cont.e
You can see and plot the outcome using jqmc-tool.
% jqmc-tool vmc analyze-output out_vmc out_vmc_cont
Compute Energy (MCMC) – JSD#
The next step is MCMC calculation. Create a directory for the MCMC calculation and move into it. Then generate a template file using jqmc-tool. Please directly edit mcmc.toml if you want to change a parameter.
% cd ..
% mkdir 03mcmc_JSD && cd 03mcmc_JSD
% cp ../02vmc_JSD/hamiltonian_data_opt_step_200.h5 ./hamiltonian_data.h5 # use the optimized WF
% jqmc-tool mcmc generate-input -g
> Input file is generated: mcmc.toml
[control]
job_type = "mcmc" # Specify the job type. "mcmc", "vmc", "lrdmc-bra", or "lrdmc-tau"
mcmc_seed = 34456 # Random seed for MCMC
number_of_walkers = 300 # Number of walkers per MPI process
max_time = 86400 # Maximum time in sec.
restart = false
restart_chk = "restart.h5" # Restart checkpoint file. If restart is True, this file is used.
hamiltonian_h5 = "hamiltonian_data.h5" # Hamiltonian checkpoint file. If restart is False, this file is used.
verbosity = "low" # Verbosity level. "low" or "high"
[mcmc]
num_mcmc_steps = 90000 # Number of observable measurement steps per MPI and Walker. Every local energy and other observeables are measured num_mcmc_steps times in total. The total number of measurements is num_mcmc_steps * mpi_size * number_of_walkers.
num_mcmc_per_measurement = 40 # Number of MCMC updates per measurement. Every local energy and other observeables are measured every this steps.
num_mcmc_warmup_steps = 0 # Number of observable measurement steps for warmup (i.e., discarged).
num_mcmc_bin_blocks = 5 # Number of blocks for binning per MPI and Walker. i.e., the total number of binned blocks is num_mcmc_bin_blocks * mpi_size * number_of_walkers.
Dt = 2.0 # Step size for the MCMC update (bohr).
epsilon_AS = 0.0 # the epsilon parameter used in the Attacalite-Sandro regulatization method.
Run the jqmc job w/ or w/o MPI on a CPU or GPU machine (via a job queueing system such as PBS).
% jqmc mcmc.toml > out_mcmc 2> out_mcmc.e # w/o MPI on CPU
% mpirun -np 4 jqmc mcmc.toml > out_mcmc 2> out_mcmc.e # w/ MPI on CPU
% mpiexec -n 4 -map-by ppr:4:node jqmc mcmc.toml > out_mcmc 2> out_mcmc.e # w/ MPI on GPU, depending the queueing system.
You may get E = -34.45005 +- 0.000506 Ha [MCMC]
[!NOTE] We are going to discuss the sub kcal/mol accuracy in the binding energy. So, we need to decrease the error bars of the monomer and dimer calculations down to \(\sim\) 0.10 mHa and \(\sim\) 0.15 mHa, respectively.
Compute Energy (LRDMC) – JSD#
The next step is LRDMC calculation. Create a directory for the LRDMC calculation and move into it. Then generate a template file using jqmc-tool. Please directly edit lrdmc.toml if you want to change a parameter.
% cd ..
% mkdir -p 04lrdmc_JSD/alat_0.20 && cd 04lrdmc_JSD
% cp ../03mcmc_JSD/hamiltonian_data.h5 .
% cd alat_0.20
% jqmc-tool lrdmc generate-input -g
> Input file is generated: lrdmc.toml
[control]
job_type = 'lrdmc-bra'
mcmc_seed = 34467
number_of_walkers = 300
max_time = 10400
restart = false
restart_chk = 'restart.h5'
hamiltonian_h5 = '../hamiltonian_data.h5'
verbosity = 'low'
[lrdmc-bra]
num_mcmc_steps = 40000
num_mcmc_per_measurement = 30
alat = 0.20
non_local_move = "dltmove"
num_gfmc_warmup_steps = 50
num_gfmc_bin_blocks = 50
num_gfmc_collect_steps = 20
E_scf = -34.00
LRDMC energy is biased with the discretized lattice space (\(a\)) by \(O(a^2)\). To get an unbiased energy, one should compute LRDMC energies with several lattice parameters (\(a\)) and extrapolate them into \(a \rightarrow 0\). However, in this benchmark, we simply choose \(a = 0.20\) Bohr because the error cancellation might work for the binding energy calculation.
% jqmc lrdmc.toml > out_lrdmc 2> out_lrdmc.e
You may get E = -34.49139 +- 0.000651 Ha [LRDMC with a = 0.2].
[!NOTE] We are going to discuss the sub kcal/mol accuracy in the binding energy. So, we need to decrease the error bars of the monomer and dimer calculations down to \(\sim\) 0.10 mHa and \(\sim\) 0.15 mHa, respectively.
Your total energies of the water-water dimer (JSD) are:
Ansatz |
Method |
Total energy (Ha) |
ref |
|---|---|---|---|
JSD |
VMC |
-34.45005 +- 0.000506 |
this work |
JSD |
LRDMC (\(a = 0.2\)) |
-34.49139 +- 0.000651 |
this work |
Optimize a trial WF (VMC) – JAGP#
The next step is to convert the optimized JSD ansatz to JAGP and optimize it. The JAGP (Jastrow Antisymmetrized Geminal Power) ansatz goes beyond JSD by allowing the determinantal part to be variationally optimized, which can improve the nodal surface.
Create a directory for the VMC optimization, convert the JSD wavefunction to JAGP, and generate a template file.
% cd ..
% mkdir 05vmc_JAGP && cd 05vmc_JAGP
% cp ../03mcmc_JSD/hamiltonian_data.h5 ./hamiltonian_data_JSD.h5
% jqmc-tool hamiltonian conv-wf --convert-to jagp hamiltonian_data_JSD.h5
> Convert SD to AGP.
> Hamiltonian data is saved in hamiltonian_data_conv.h5.
% mv hamiltonian_data_conv.h5 hamiltonian_data.h5
% jqmc-tool vmc generate-input -g
> Input file is generated: vmc.toml
[control]
job_type = "vmc" # Specify the job type. "mcmc", "vmc", "lrdmc-bra", or "lrdmc-tau".
mcmc_seed = 34456 # Random seed for MCMC
number_of_walkers = 1 # Number of walkers per MPI process
max_time = 86400 # Maximum time in sec.
restart = false
restart_chk = "restart.h5" # Restart checkpoint file. If restart is True, this file is used.
hamiltonian_h5 = "hamiltonian_data.h5" # Hamiltonian checkpoint file. If restart is False, this file is used.
verbosity = "low" # Verbosity level. "low" or "high"
[vmc]
num_mcmc_steps = 300 # Number of observable measurement steps per MPI and Walker. Every local energy and other observeables are measured num_mcmc_steps times in total. The total number of measurements is num_mcmc_steps * mpi_size * number_of_walkers.
num_mcmc_per_measurement = 40 # Number of MCMC updates per measurement. Every local energy and other observeables are measured every this steps.
num_mcmc_warmup_steps = 0 # Number of observable measurement steps for warmup (i.e., discarged).
num_mcmc_bin_blocks = 1 # Number of blocks for binning per MPI and Walker. i.e., the total number of binned blocks is num_mcmc_bin_blocks * mpi_size * number_of_walkers.
Dt = 2.0 # Step size for the MCMC update (bohr).
epsilon_AS = 0.05 # the epsilon parameter used in the Attacalite-Sandro regulatization method.
num_opt_steps = 200 # Number of optimization steps.
wf_dump_freq = 20 # Frequency of wavefunction (i.e. hamiltonian_data) dump.
optimizer_kwargs = { method = "sr", delta = 0.15, epsilon = 0.001, cg_flag = true, cg_max_iter = 10000, cg_tol = 1e-6, use_lm = true } # SR optimizer configuration (method plus step/regularization).
opt_J1_param = false
opt_J2_param = true
opt_J3_param = true
opt_JNN_param = false
opt_lambda_param = true
opt_with_projected_MOs = false
opt_J3_basis_exp = false
opt_J3_basis_coeff = false
opt_lambda_basis_exp = false
opt_lambda_basis_coeff = false
[!IMPORTANT] Note the key differences from the JSD optimization:
opt_lambda_param = true– enables optimization of the AGP matrix elements (determinantal part).
epsilon_AS = 0.05– enables the Attaccalite-Sorella regularization, which is important for stable optimization of the determinantal part.
Please lunch the job.
% jqmc vmc.toml > out_vmc 2> out_vmc.e # w/o MPI on CPU
% mpirun -np 4 jqmc vmc.toml > out_vmc 2> out_vmc.e # w/ MPI on CPU
% mpiexec -n 4 -map-by ppr:4:node jqmc vmc.toml > out_vmc 2> out_vmc.e # w/ MPI on GPU, depending the queueing system.
You can see the outcome using jqmc-tool.
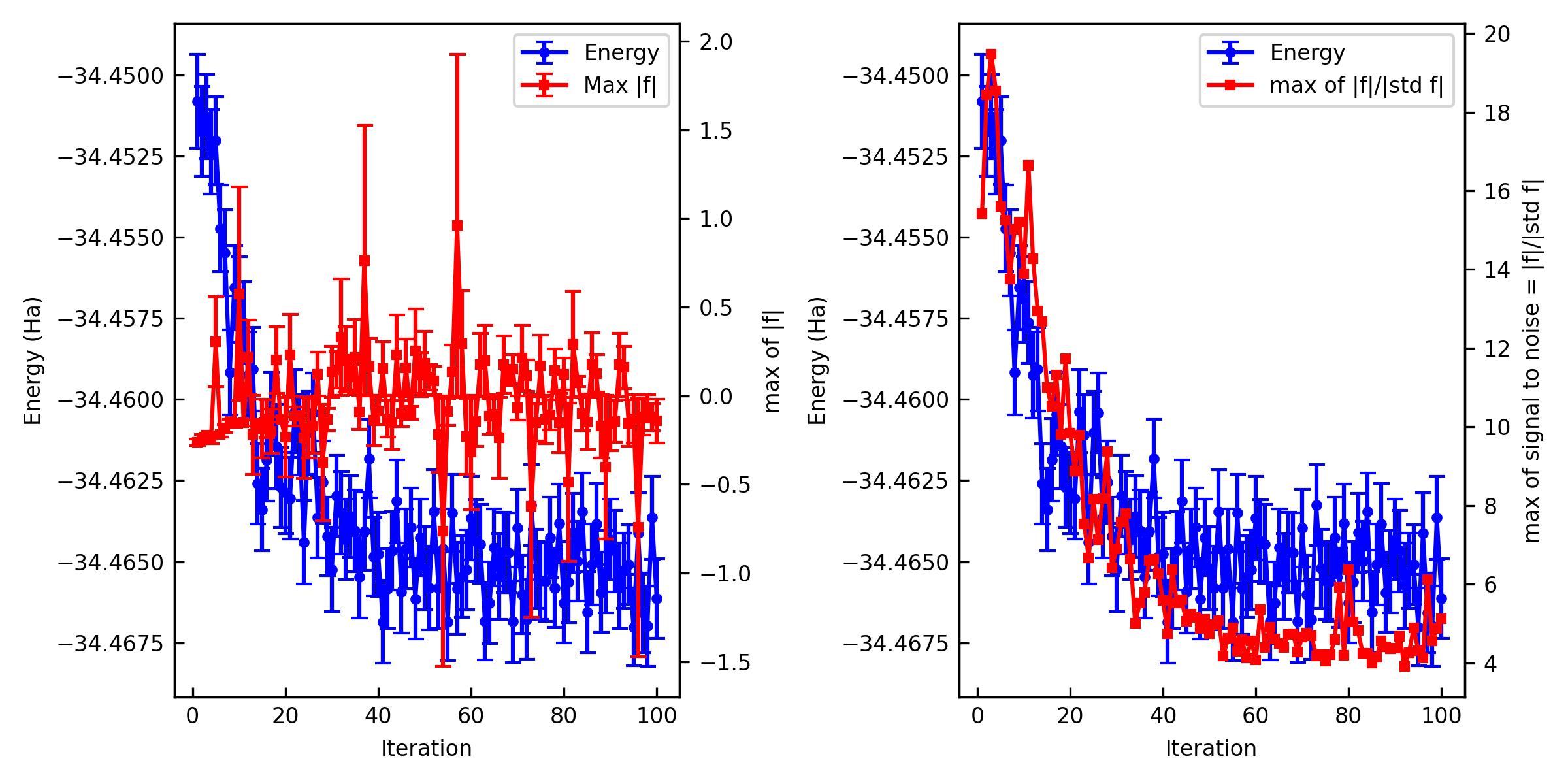
% jqmc-tool vmc analyze-output out_vmc
------------------------------------------------------
Iter E (Ha) Max f (Ha) Max of signal to noise of f
------------------------------------------------------
1 -34.4508(14) -0.262(19) 15.415
2 -34.4517(14) -0.245(25) 18.438
3 -34.4513(13) -0.221(11) 19.472
4 -34.4524(13) -0.238(34) 18.540
5 -34.4520(14) +0.30(26) 15.594
6 -34.4547(13) -0.218(14) 15.248
7 -34.4555(13) -0.186(22) 13.766
8 -34.4592(13) -0.146(13) 15.021
9 -34.4566(13) -0.156(21) 15.199
10 -34.4569(13) +0.57(60) 13.896
...
90 -34.4643(12) -0.16(16) 4.384
91 -34.4647(13) -0.14(12) 4.680
92 -34.4657(13) +0.17(18) 3.916
93 -34.4653(12) +0.16(12) 4.260
94 -34.4651(12) -0.15(13) 4.895
95 -34.4670(12) -0.13(14) 4.310
96 -34.4641(13) -0.74(73) 4.135
97 -34.4666(12) -0.12(10) 6.130
98 -34.4670(12) -0.071(77) 4.565
99 -34.4637(13) -0.121(76) 4.880
100 -34.4661(12) -0.14(12) 5.124
------------------------------------------------------
The important criteria are Max f and Max of signal to noise of f. Again, a practical criterion for the signal to noise is < 4~5 because it means that all the residual forces are zero in the statistical sense. However, Max f behaves differently from the Jastrow-only optimization above. Despite the signal-to-noise ratio approaching below 4, unlike the Jastrow factor optimization, the Max f remains with a large error bar rather than driving it toward zero. The determinant part modifies the nodal surface of the wave function, and its parameter derivatives are known to diverge near those nodes. As a result, when one Monte Carlo samples the energy derivative \(F \equiv -\cfrac{\partial E}{\partial c_{\rm det}}\) divergences appear, leading to the so-called infinite-variance problem. To address this, techniques such as reweighting[2][3] and regularization[4] have been developed. jQMC implements the reweighting scheme invented by Attaccalite and Sorella[2]. However, as Pathak and Wagner have shown, when the wave function (i.e., the nodal surface) becomes sufficiently complex, even these reweighting or regularization procedures cannot completely remove all divergent contributions[4]. Because the variance of the derivatives exhibits the so-called fat tail behavior, it is inherently difficult to eliminate every divergence encountered during Monte Carlo sampling. Nevertheless, Pathak and Wagner also report that these remaining divergences are effectively masked in optimizations of the wave function in practice[4], so they do not pose a serious issue in applications. Therefore, once the signal-to-noise ratio has converged to a satisfactory level (< 4), one may regard the optimization as effectively converged.
You can also plot them and make a figure.
% jqmc-tool vmc analyze-output out_vmc -p -s vmc_JAGP.jpg

If the optimization is not converged. You can restart the optimization.
[control]
...
restart = true
restart_chk = "restart.h5" # Restart checkpoint file. If restart is True, this file is used.
...
% jqmc vmc.toml > out_vmc_cont 2> out_vmc_cont.e
You can see and plot the outcome using jqmc-tool.
% jqmc-tool vmc analyze-output out_vmc out_vmc_cont
Compute Energy (MCMC) – JAGP#
The next step is MCMC calculation. Create a directory for the MCMC calculation and move into it.
% cd ..
% mkdir 06mcmc_JAGP && cd 06mcmc_JAGP
% cp ../05vmc_JAGP/hamiltonian_data_opt_step_200.h5 ./hamiltonian_data.h5 # use the optimized WF
% jqmc-tool mcmc generate-input -g
> Input file is generated: mcmc.toml
[control]
job_type = "mcmc" # Specify the job type. "mcmc", "vmc", "lrdmc-bra", or "lrdmc-tau"
mcmc_seed = 34456 # Random seed for MCMC
number_of_walkers = 300 # Number of walkers per MPI process
max_time = 86400 # Maximum time in sec.
restart = false
restart_chk = "restart.h5" # Restart checkpoint file. If restart is True, this file is used.
hamiltonian_h5 = "hamiltonian_data.h5" # Hamiltonian checkpoint file. If restart is False, this file is used.
verbosity = "low" # Verbosity level. "low" or "high"
[mcmc]
num_mcmc_steps = 90000 # Number of observable measurement steps per MPI and Walker. Every local energy and other observeables are measured num_mcmc_steps times in total. The total number of measurements is num_mcmc_steps * mpi_size * number_of_walkers.
num_mcmc_per_measurement = 40 # Number of MCMC updates per measurement. Every local energy and other observeables are measured every this steps.
num_mcmc_warmup_steps = 0 # Number of observable measurement steps for warmup (i.e., discarged).
num_mcmc_bin_blocks = 5 # Number of blocks for binning per MPI and Walker. i.e., the total number of binned blocks is num_mcmc_bin_blocks * mpi_size * number_of_walkers.
Dt = 2.0 # Step size for the MCMC update (bohr).
epsilon_AS = 0.0 # the epsilon parameter used in the Attacalite-Sandro regulatization method.
Run the jqmc job.
% jqmc mcmc.toml > out_mcmc 2> out_mcmc.e # w/o MPI on CPU
% mpirun -np 4 jqmc mcmc.toml > out_mcmc 2> out_mcmc.e # w/ MPI on CPU
% mpiexec -n 4 -map-by ppr:4:node jqmc mcmc.toml > out_mcmc 2> out_mcmc.e # w/ MPI on GPU, depending the queueing system.
You may get E = -34.46554 +- 0.000476 Ha [MCMC]
You should gain the energy with respect the JSD value; otherwise, the optimization went wrong.
Compute Energy (LRDMC) – JAGP#
The final step is LRDMC calculation. Create a directory for the LRDMC calculation and move into it.
% cd ..
% mkdir -p 07lrdmc_JAGP/alat_0.20 && cd 07lrdmc_JAGP
% cp ../06mcmc_JAGP/hamiltonian_data.h5 .
% cd alat_0.20
% jqmc-tool lrdmc generate-input -g
> Input file is generated: lrdmc.toml
[control]
job_type = 'lrdmc-bra'
mcmc_seed = 34467
number_of_walkers = 300
max_time = 10400
restart = false
restart_chk = 'restart.h5'
hamiltonian_h5 = '../hamiltonian_data.h5'
verbosity = 'low'
[lrdmc-bra]
num_mcmc_steps = 40000
num_mcmc_per_measurement = 30
alat = 0.20
non_local_move = "dltmove"
num_gfmc_warmup_steps = 50
num_gfmc_bin_blocks = 50
num_gfmc_collect_steps = 20
E_scf = -34.00
% jqmc lrdmc.toml > out_lrdmc 2> out_lrdmc.e
You may get E = -34.49444 +- 0.000529 Ha [LRDMC with a = 0.2]
You should gain the energy with respect the JSD value; otherwise, the optimization went wrong.
[!NOTE] We are going to discuss the sub kcal/mol accuracy in the binding energy. So, we need to decrease the error bars of the monomer and dimer calculations down to \(\sim\) 0.10 mHa and \(\sim\) 0.15 mHa, respectively.
Results#
Total energies#
Your total energies of the water-water dimer are:
Ansatz |
Method |
Total energy (Ha) |
ref |
|---|---|---|---|
JSD |
VMC |
-34.45005 +- 0.000506 |
this work |
JAGPs |
VMC |
-34.46554 +- 0.000476 |
this work |
JSD |
LRDMC (\(a = 0.2\)) |
-34.49139 +- 0.000651 |
this work |
JAGPs |
LRDMC (\(a = 0.2\)) |
-34.49444 +- 0.000529 |
this work |
Binding energies#
Your binding energies (\(E_{\rm bind} = E_{\rm dimer} - E_{\rm monomer1} - E_{\rm monomer2}\)) are:
Ansatz |
Method |
Binding energy (kcal/mol) |
ref |
|---|---|---|---|
JSD |
VMC |
-5.1 +- 0.4 |
this work |
JSD |
VMC |
-4.61 +- 0.05 |
Zen et al.[5] |
JAGPs |
VMC |
-3.9 +- 0.4 |
this work |
JAGPs |
VMC |
-4.17 +- 0.1 |
Zen et al.[5] |
JSD |
LRDMC (\(a = 0.2\)) |
-5.1 +- 0.5 |
this work |
JSD |
LRDMC (\(a = 0.2\)) |
-4.94 +- 0.07 |
Zen et al.[5] |
JAGPs |
LRDMC (\(a = 0.2\)) |
-4.9 +- 0.4 |
this work |
JAGPs |
LRDMC (\(a = 0.2\)) |
-4.88 +- 0.06 |
Zen et al.[5] |
jqmc-example05:#
Energy and atomic force of hydrogen molecule (\(R = 0.74\;\text{\AA}\)) with cartesian GTOs. All electron calculations. Comparison of JSD and JAGP ansatz. The atomic forces are computed by fully exploiting algorithmic differentiation (AD) as implemented in JAX. The pioneering application of AD in ab initio QMC was first introduced by S. Sorella and L. Capriotti in 2010 [6].
Generate a trial WF#
The first step of ab-initio QMC is to generate a trial WF by a mean-field theory such as DFT/HF. jQMC interfaces with other DFT/HF software packages via TREXIO.
One of the easiest ways to produce it is using pySCF as a converter to the TREXIO format is implemented. The following is a script to run a DFT-LDA calculation of the hydrogen molecule at \(R = 0.74\;\text{\AA}\) and dump it as a TREXIO file.
% cd 01DFT
from pyscf import gto, scf
from pyscf.tools import trexio
R = 0.74 # angstrom
filename = f"H2_R_{R:.2f}.h5"
mol = gto.Mole()
mol.verbose = 5
mol.atom = f"""
H 0.000000000 0.000000000 {-R / 2}
H 0.000000000 0.000000000 {+R / 2}
"""
mol.basis = "ccpvtz"
mol.unit = "A"
mol.ecp = None
mol.charge = 0
mol.spin = 0
mol.symmetry = False
mol.cart = True
mol.output = f"H2_R_{R:.2f}.out"
mol.build()
mf = scf.KS(mol).density_fit()
mf.max_cycle = 200
mf.xc = "LDA_X,LDA_C_PZ"
mf_scf = mf.kernel()
trexio.to_trexio(mf, filename)
Launch it on a terminal. You may get E = -1.13700890749411 Ha [DFT-LDA-PZ].
% python run_pyscf.py
% cd ..
Convert TREXIO to jQMC format and optimize a trial WF: JSD (VMC)#
Next, convert the TREXIO file to the jqmc format using jqmc-tool, and then optimize the variational parameters in the Jastrow factor (J1, J2, and J3).
% cd 02vmc_JSD
% cp ../01DFT/H2_R_0.74.h5 .
% jqmc-tool trexio convert-to H2_R_0.74.h5 -j1 1.0 -j2 1.0 -j3 mo
> Hamiltonian data is saved in hamiltonian_data.h5.
The generated hamiltonian_data.h5 is a wavefunction file with the jqmc format. -j1 specifies the initial value of the one-body Jastrow parameter, -j2 specifies the initial value of the two-body Jastrow parameter, and -j3 specifies the basis set (ao:atomic orbital or mo:molecular orbital) for the three-body Jastrow part.
You can generate a template file for a VMC optimization using jqmc-tool. Please directly edit vmc.toml if you want to change a parameter.
% jqmc-tool vmc generate-input -g
> Input file is generated: vmc.toml
[control]
job_type = "vmcopt" # Specify the job type. "vmc", "vmcopt", "lrdmc-bra", or "lrdmc-tau".
mcmc_seed = 34456 # Random seed for MCMC
number_of_walkers = 4 # Number of walkers per MPI process
max_time = 86400 # Maximum time in sec.
restart = false
restart_chk = "restart.chk" # Restart checkpoint file. If restart is True, this file is used.
hamiltonian_chk = "hamiltonian_data.chk" # Hamiltonian checkpoint file. If restart is False, this file is used.
verbosity = "low" # Verbosity level. "low" or "high"
[vmcopt]
num_mcmc_steps = 300 # Number of observable measurement steps per MPI and Walker. Every local energy and other observeables are measured num_mcmc_steps times in total. The total number of measurements is num_mcmc_steps * mpi_size * number_of_walkers.
num_mcmc_per_measurement = 40 # Number of MCMC updates per measurement. Every local energy and other observeables are measured every this steps.
num_mcmc_warmup_steps = 0 # Number of observable measurement steps for warmup (i.e., discarged).
num_mcmc_bin_blocks = 1 # Number of blocks for binning per MPI and Walker. i.e., the total number of binned blocks is num_mcmc_bin_blocks * mpi_size * number_of_walkers.
Dt = 1.0 # Step size for the MCMC update (bohr).
epsilon_AS = 0.0 # the epsilon parameter used in the Attacalite-Sandro regulatization method.
num_opt_steps = 300 # Number of optimization steps.
wf_dump_freq = 10 # Frequency of wavefunction (i.e. hamiltonian_data) dump.
opt_J1_param = true
opt_J2_param = true
opt_J3_param = true
opt_lambda_param = false
opt_J3_basis_exp = false
opt_J3_basis_coeff = false
opt_lambda_basis_exp = false
opt_lambda_basis_coeff = false
Please launch the job.
% jqmc vmc.toml > out_vmc 2> out_vmc.e # w/o MPI on CPU
% mpirun -np 4 jqmc vmc.toml > out_vmc 2> out_vmc.e # w/ MPI on CPU
% mpiexec -n 4 -map-by ppr:4:node jqmc vmc.toml > out_vmc 2> out_vmc.e # w/ MPI on GPU, depending the queueing system.
You can see and plot the outcome using jqmc-tool.
% jqmc-tool vmc analyze-output out_vmc
------------------------------------------------------------
Iter E (Ha) Max f (Ha) Max signal to noise of f
------------------------------------------------------------
1 -0.9543(42) +0.4320(40) 129.023
2 -0.8488(21) +1.6470(70) 311.388
3 -0.9400(19) +1.3950(60) 240.943
4 -0.9955(17) +1.1830(60) 206.101
5 -1.0330(16) +1.0330(50) 203.363
6 -1.0612(15) +0.8890(50) 195.200
7 -1.0826(14) +0.7780(40) 196.997
8 -1.1026(13) +0.6830(40) 186.626
9 -1.1141(12) +0.5990(30) 190.358
10 -1.1238(12) +0.5240(30) 186.276
...
191 -1.16993(48) +0.0000(10) 0.430
192 -1.17020(45) -0.0000(10) 0.448
193 -1.16920(47) +0.0010(10) 1.656
194 -1.16956(46) +0.0000(10) 0.389
195 -1.17023(47) +0.0000(00) 0.774
196 -1.16927(45) +0.0020(10) 2.858
197 -1.17070(47) -0.0010(10) 1.263
198 -1.16959(47) -0.0020(10) 2.805
199 -1.16965(46) -0.0000(10) 0.874
200 -1.16922(47) -0.0000(10) 0.550
------------------------------------------------------------
The important criteria are Max f and Max signal to noise of f. Max f should be zero within the error bar. A practical criterion for signal to noise is < 4~5 because it means that all the residual forces are zero in the statistical sense.
% cd ..
Compute Energy and Atomic forces: JSD (MCMC)#
Using the optimized wavefunction, compute the energy and atomic forces via MCMC. Copy the optimized hamiltonian_data from the previous step and generate a template file using jqmc-tool. Please directly edit mcmc.toml if you want to change a parameter.
% cd 03mcmc_JSD
% cp ../02vmc_JSD/hamiltonian_data_opt_step_200.h5 ./hamiltonian_data.h5
% jqmc-tool mcmc generate-input -g
> Input file is generated: mcmc.toml
[control]
job_type = "vmc" # Specify the job type. "vmc", "vmcopt", "lrdmc-bra", or "lrdmc-tau".
mcmc_seed = 34456 # Random seed for MCMC
number_of_walkers = 4 # Number of walkers per MPI process
max_time = 86400 # Maximum time in sec.
restart = false
restart_chk = "restart.chk" # Restart checkpoint file. If restart is True, this file is used.
hamiltonian_chk = "hamiltonian_data.chk" # Hamiltonian checkpoint file. If restart is False, this file is used.
verbosity = "low" # Verbosity level. "low" or "high"
[vmc]
num_mcmc_steps = 10000 # Number of observable measurement steps per MPI and Walker. Every local energy and other observeables are measured num_mcmc_steps times in total. The total number of measurements is num_mcmc_steps * mpi_size * number_of_walkers.
num_mcmc_per_measurement = 40 # Number of MCMC updates per measurement. Every local energy and other observeables are measured every this steps.
num_mcmc_warmup_steps = 10 # Number of observable measurement steps for warmup (i.e., discarged).
num_mcmc_bin_blocks = 5 # Number of blocks for binning per MPI and Walker. i.e., the total number of binned blocks is num_mcmc_bin_blocks * mpi_size * number_of_walkers.
Dt = 1.2 # Step size for the MCMC update (bohr).
epsilon_AS = 0.0 # the epsilon parameter used in the Attacalite-Sandro regulatization method.
atomic_force = true
use_swct = true # Apply Space Warp Coordinate Transformation (SWCT) to atomic forces.
Run the jqmc job w/ or w/o MPI on a CPU or GPU machine (via a job queueing system such as PBS).
% jqmc mcmc.toml > out_mcmc 2> out_mcmc.e # w/o MPI on CPU
% mpirun -np 4 jqmc mcmc.toml > out_mcmc 2> out_mcmc.e # w/ MPI on CPU
% mpiexec -n 4 -map-by ppr:4:node jqmc mcmc.toml > out_mcmc 2> out_mcmc.e # w/ MPI on GPU, depending the queueing system.
You may get E = -1.16986 +- 0.000079 Ha and Var(E) = 0.03025 +- 0.000071 Ha^2.
------------------------------------------------
Label Fx(Ha/bohr) Fy(Ha/bohr) Fz(Ha/bohr)
------------------------------------------------
H -9(9)e-05 +6(9)e-05 +0.00311(22)
H +9(9)e-05 -6(9)e-05 -0.00311(22)
------------------------------------------------
[!NOTE] If one were to optimize only the Jastrow factor while keeping the determinant part fixed to the DFT solution (i.e.,
opt_with_projected_MOs = false), the atomic forces would contain a self-consistency bias[7][8] because the DFT orbitals are not stationary with respect to the MCMC energy. In that case, a finite \(F_z\) would appear even at the equilibrium geometry. By settingopt_with_projected_MOs = trueas in this example, the MO coefficients are also optimized and this bias is eliminated.
% cd ..
Compute Energy and Atomic forces: JSD (LRDMC)#
Using the same optimized wavefunction, compute the energy and atomic forces via LRDMC. Please directly edit lrdmc.toml if you want to change a parameter.
% cd 04lrdmc_JSD
% cp ../02vmc_JSD/hamiltonian_data_opt_step_200.h5 ./hamiltonian_data.h5
% jqmc-tool lrdmc generate-input -g
> Input file is generated: lrdmc.toml
[control]
job_type = "lrdmc-bra" # Specify the job type. "vmc", "vmcopt", "lrdmc-bra", or "lrdmc-tau".
mcmc_seed = 34456 # Random seed for MCMC
number_of_walkers = 4 # Number of walkers per MPI process
max_time = 86400 # Maximum time in sec.
restart = false
restart_chk = "restart.chk" # Restart checkpoint file. If restart is True, this file is used.
hamiltonian_chk = "hamiltonian_data.chk" # Hamiltonian checkpoint file. If restart is False, this file is used.
verbosity = "low" # Verbosity level. "low" or "high"
[lrdmc-bra]
num_mcmc_steps = 10000 # Number of observable measurement steps per MPI and Walker. Every local energy and other observeables are measured num_mcmc_steps times in total. The total number of measurements is num_mcmc_steps * mpi_size * number_of_walkers.
num_mcmc_per_measurement = 30 # Number of GFMC projections per measurement. Every local energy and other observeables are measured every this projection.
alat = 0.10 # The lattice discretization parameter (i.e. grid size) used for discretized the Hamiltonian and potential. The lattice spacing is alat * a0, where a0 is the Bohr radius.
non_local_move = "tmove" # The treatment of the non-local term in the Effective core potential. tmove (T-move) and dltmove (Determinant locality approximation with T-move) are available.
num_gfmc_warmup_steps = 10 # Number of observable measurement steps for warmup (i.e., discarged).
num_gfmc_bin_blocks = 10 # Number of blocks for binning per MPI and Walker. i.e., the total number of binned blocks is num_gfmc_bin_blocks, not num_gfmc_bin_blocks * mpi_size * number_of_walkers.
num_gfmc_collect_steps = 5 # Number of measurement (before binning) for collecting the weights.
E_scf = -1.0 # The initial guess of the total energy. This is used to compute the initial energy shift in the GFMC.
atomic_force = true
use_swct = false # Apply Space Warp Coordinate Transformation (SWCT) to atomic forces. Default is false for LRDMC.
Run the jqmc job w/ or w/o MPI on a CPU or GPU machine (via a job queueing system such as PBS).
% jqmc lrdmc.toml > out_lrdmc 2> out_lrdmc.e # w/o MPI on CPU
% mpirun -np 4 jqmc lrdmc.toml > out_lrdmc 2> out_lrdmc.e # w/ MPI on CPU
% mpiexec -n 4 -map-by ppr:4:node jqmc lrdmc.toml > out_lrdmc 2> out_lrdmc.e # w/ MPI on GPU, depending the queueing system.
You may get E = -1.17485 +- 0.000248 Ha and Var(E) = 0.02985 +- 0.000165 Ha^2.
------------------------------------------------
Label Fx(Ha/bohr) Fy(Ha/bohr) Fz(Ha/bohr)
------------------------------------------------
H -0.0009(6) +0.0006(7) -0.0066(8)
H +0.0009(6) -0.0006(7) +0.0066(8)
------------------------------------------------
% cd ..
Convert JSD to JAGP and optimize: JAGP (VMC)#
Convert the optimized JSD ansatz to the JAGP ansatz using jqmc-tool, and then optimize all variational parameters including the geminal (lambda) parameters.
% cd 05vmc_JAGP
% cp ../02vmc_JSD/hamiltonian_data_opt_step_200.h5 ./hamiltonian_data_JSD.h5
% jqmc-tool hamiltonian conv-wf --convert-to jagp hamiltonian_data_JSD.h5
> Convert SD to AGP.
> Hamiltonian data is saved in hamiltonian_data_conv.h5.
% mv hamiltonian_data_conv.h5 hamiltonian_data.h5
Generate a template file for VMC optimization. Please directly edit vmc.toml if you want to change a parameter.
% jqmc-tool vmc generate-input -g
> Input file is generated: vmc.toml
[control]
job_type = "vmcopt" # Specify the job type. "vmc", "vmcopt", "lrdmc-bra", or "lrdmc-tau".
mcmc_seed = 34456 # Random seed for MCMC
number_of_walkers = 4 # Number of walkers per MPI process
max_time = 86400 # Maximum time in sec.
restart = false
restart_chk = "restart.chk" # Restart checkpoint file. If restart is True, this file is used.
hamiltonian_chk = "hamiltonian_data.chk" # Hamiltonian checkpoint file. If restart is False, this file is used.
verbosity = "low" # Verbosity level. "low" or "high"
[vmcopt]
num_mcmc_steps = 500 # Number of observable measurement steps per MPI and Walker. Every local energy and other observeables are measured num_mcmc_steps times in total. The total number of measurements is num_mcmc_steps * mpi_size * number_of_walkers.
num_mcmc_per_measurement = 40 # Number of MCMC updates per measurement. Every local energy and other observeables are measured every this steps.
num_mcmc_warmup_steps = 0 # Number of observable measurement steps for warmup (i.e., discarged).
num_mcmc_bin_blocks = 1 # Number of blocks for binning per MPI and Walker. i.e., the total number of binned blocks is num_mcmc_bin_blocks * mpi_size * number_of_walkers.
Dt = 1.0 # Step size for the MCMC update (bohr).
epsilon_AS = 0.0 # the epsilon parameter used in the Attacalite-Sandro regulatization method.
num_opt_steps = 400 # Number of optimization steps.
wf_dump_freq = 10 # Frequency of wavefunction (i.e. hamiltonian_data) dump.
opt_J1_param = true
opt_J2_param = true
opt_J3_param = true
opt_lambda_param = true
opt_J3_basis_exp = false
opt_J3_basis_coeff = false
opt_lambda_basis_exp = false
opt_lambda_basis_coeff = false
Please launch the job.
% jqmc vmc.toml > out_vmc 2> out_vmc.e # w/o MPI on CPU
% mpirun -np 4 jqmc vmc.toml > out_vmc 2> out_vmc.e # w/ MPI on CPU
% mpiexec -n 4 -map-by ppr:4:node jqmc vmc.toml > out_vmc 2> out_vmc.e # w/ MPI on GPU, depending the queueing system.
You can see and plot the outcome using jqmc-tool.
% jqmc-tool vmc analyze-output out_vmc
------------------------------------------------------
Iter E (Ha) Max f (Ha) Max of signal to noise of f
------------------------------------------------------
1 -1.17025(46) +0.0690(10) 79.768
2 -1.17148(31) +0.0570(10) 68.719
3 -1.17300(21) +0.0340(10) 70.244
4 -1.17354(17) -0.0300(10) 72.861
5 -1.17376(15) -0.0260(10) 66.032
6 -1.17371(14) -0.0220(10) 62.463
7 -1.17405(14) -0.0190(10) 57.303
8 -1.17381(14) -0.0150(10) 52.436
9 -1.17401(13) -0.0130(10) 43.747
10 -1.17420(14) -0.0110(10) 40.793
...
26 -1.17409(13) +0.0010(10) 5.080
27 -1.17407(15) -0.0020(10) 4.100
28 -1.17414(14) -0.0010(10) 4.578
29 -1.17368(14) -0.0002(00) 4.743
30 -1.17407(15) +0.0010(10) 3.801
...
------------------------------------------------------
One should gain energy with respect to the JSD ansatz. Note that opt_lambda_param = true is set to optimize the geminal parameters in the JAGP ansatz.
% cd ..
Compute Energy and Atomic forces: JAGP (MCMC)#
Using the optimized JAGP wavefunction, compute the energy and atomic forces via MCMC.
% cd 06mcmc_JAGP
% cp ../05vmc_JAGP/hamiltonian_data_opt_step_200.h5 ./hamiltonian_data.h5
% jqmc-tool mcmc generate-input -g
> Input file is generated: mcmc.toml
[control]
job_type = "vmc" # Specify the job type. "vmc", "vmcopt", "lrdmc-bra", or "lrdmc-tau".
mcmc_seed = 34456 # Random seed for MCMC
number_of_walkers = 4 # Number of walkers per MPI process
max_time = 86400 # Maximum time in sec.
restart = false
restart_chk = "restart.chk" # Restart checkpoint file. If restart is True, this file is used.
hamiltonian_chk = "hamiltonian_data.chk" # Hamiltonian checkpoint file. If restart is False, this file is used.
verbosity = "low" # Verbosity level. "low" or "high"
[vmc]
num_mcmc_steps = 10000 # Number of observable measurement steps per MPI and Walker. Every local energy and other observeables are measured num_mcmc_steps times in total. The total number of measurements is num_mcmc_steps * mpi_size * number_of_walkers.
num_mcmc_per_measurement = 40 # Number of MCMC updates per measurement. Every local energy and other observeables are measured every this steps.
num_mcmc_warmup_steps = 10 # Number of observable measurement steps for warmup (i.e., discarged).
num_mcmc_bin_blocks = 5 # Number of blocks for binning per MPI and Walker. i.e., the total number of binned blocks is num_mcmc_bin_blocks * mpi_size * number_of_walkers.
Dt = 1.2 # Step size for the MCMC update (bohr).
epsilon_AS = 0.0 # the epsilon parameter used in the Attacalite-Sandro regulatization method.
atomic_force = true
use_swct = true # Apply Space Warp Coordinate Transformation (SWCT) to atomic forces.
Run the jqmc job w/ or w/o MPI on a CPU or GPU machine (via a job queueing system such as PBS).
% jqmc mcmc.toml > out_mcmc 2> out_mcmc.e # w/o MPI on CPU
% mpirun -np 4 jqmc mcmc.toml > out_mcmc 2> out_mcmc.e # w/ MPI on CPU
% mpiexec -n 4 -map-by ppr:4:node jqmc mcmc.toml > out_mcmc 2> out_mcmc.e # w/ MPI on GPU, depending the queueing system.
You may get E = -1.17543 +- 0.001343 Ha and Var(E) = 0.00327 +- 0.000475 Ha^2.
------------------------------------------------
Label Fx(Ha/bohr) Fy(Ha/bohr) Fz(Ha/bohr)
------------------------------------------------
H +0.00015(5) -3(5)e-05 -0.00042(20)
H -0.00015(5) +3(5)e-05 +0.00042(20)
------------------------------------------------
% cd ..
Compute Energy and Atomic forces: JAGP (LRDMC)#
Using the same optimized JAGP wavefunction, compute the energy and atomic forces via LRDMC. Please directly edit lrdmc.toml if you want to change a parameter.
% cd 07lrdmc_JAGP
% cp ../05vmc_JAGP/hamiltonian_data_opt_step_200.h5 ./hamiltonian_data.h5
% jqmc-tool lrdmc generate-input -g
> Input file is generated: lrdmc.toml
[control]
job_type = "lrdmc-bra" # Specify the job type. "vmc", "vmcopt", "lrdmc-bra", or "lrdmc-tau".
mcmc_seed = 34456 # Random seed for MCMC
number_of_walkers = 4 # Number of walkers per MPI process
max_time = 86400 # Maximum time in sec.
restart = false
restart_chk = "restart.chk" # Restart checkpoint file. If restart is True, this file is used.
hamiltonian_chk = "hamiltonian_data.chk" # Hamiltonian checkpoint file. If restart is False, this file is used.
verbosity = "low" # Verbosity level. "low" or "high"
[lrdmc-bra]
num_mcmc_steps = 10000 # Number of observable measurement steps per MPI and Walker. Every local energy and other observeables are measured num_mcmc_steps times in total. The total number of measurements is num_mcmc_steps * mpi_size * number_of_walkers.
num_mcmc_per_measurement = 30 # Number of GFMC projections per measurement. Every local energy and other observeables are measured every this projection.
alat = 0.10 # The lattice discretization parameter (i.e. grid size) used for discretized the Hamiltonian and potential. The lattice spacing is alat * a0, where a0 is the Bohr radius.
non_local_move = "tmove" # The treatment of the non-local term in the Effective core potential. tmove (T-move) and dltmove (Determinant locality approximation with T-move) are available.
num_gfmc_warmup_steps = 10 # Number of observable measurement steps for warmup (i.e., discarged).
num_gfmc_bin_blocks = 10 # Number of blocks for binning per MPI and Walker. i.e., the total number of binned blocks is num_gfmc_bin_blocks, not num_gfmc_bin_blocks * mpi_size * number_of_walkers.
num_gfmc_collect_steps = 5 # Number of measurement (before binning) for collecting the weights.
E_scf = -1.0 # The initial guess of the total energy. This is used to compute the initial energy shift in the GFMC.
atomic_force = true
use_swct = false # Apply Space Warp Coordinate Transformation (SWCT) to atomic forces. Default is false for LRDMC.
Run the jqmc job w/ or w/o MPI on a CPU or GPU machine (via a job queueing system such as PBS).
% jqmc lrdmc.toml > out_lrdmc 2> out_lrdmc.e # w/o MPI on CPU
% mpirun -np 4 jqmc lrdmc.toml > out_lrdmc 2> out_lrdmc.e # w/ MPI on CPU
% mpiexec -n 4 -map-by ppr:4:node jqmc lrdmc.toml > out_lrdmc 2> out_lrdmc.e # w/ MPI on GPU, depending the queueing system.
You may get E = -1.17442 +- 0.000069 Ha and Var(E) = 0.00287 +- 0.000010 Ha^2.
------------------------------------------------
Label Fx(Ha/bohr) Fy(Ha/bohr) Fz(Ha/bohr)
------------------------------------------------
H -0.0007(6) +0.0009(10) -0.0058(10)
H +0.0007(6) -0.0009(10) +0.0058(10)
------------------------------------------------
% cd ..
Summary#
Results for H\(_2\) at \(R = 0.74\;\text{\AA}\) with cc-pVTZ basis set (all electron):
Ansatz |
Method |
E (Ha) |
Fz (Ha/bohr) |
|---|---|---|---|
JSD |
MCMC |
-1.16986(8) |
+0.00311(22) |
JSD |
LRDMC |
-1.17485(25) |
-0.0066(8) |
JAGP |
MCMC |
-1.17543(134) |
-0.00042(20) |
JAGP |
LRDMC |
-1.17442(7) |
-0.0058(10) |
In both the JSD and JAGP calculations, the MO coefficients are optimized (opt_with_projected_MOs = true for JSD, opt_lambda_param = true for JAGP), so the self-consistency bias[7][8] is eliminated. At the equilibrium geometry (\(R = 0.74\;\text{\AA}\)), the force should be nearly zero, and indeed both the JSD and JAGP MCMC results show \(F_z\) consistent with zero within the error bar.
If one were to keep the determinant part fixed to the DFT solution (i.e., opt_with_projected_MOs = false), the DFT orbitals would not be stationary with respect to the MCMC energy, and a finite self-consistency bias would appear in the atomic forces[10]. An alternative way to correct for this bias without full orbital optimization is described in Ref. [11]. If one is interested in the latter approach, please contact a jQMC developer.
jqmc-example07:#
This example demonstrates how to use jQMC as a Python library, bypassing the command-line interface (CLI). This allows for greater flexibility in constructing workflows, such as integrating with other tools or performing custom analysis loops.
Overview#
The workflow consists of two main scripts:
run_pyscf.py: Runs a PySCF calculation (HF/DFT) and exports the results to a TREXIO file (water_ccecp_ccpvtz.h5).run_jqmc.py: Loads the TREXIO file, constructs the Hamiltonian, performs VMC optimization, runs VMC sampling, and executes LRDMC calculations with multiple lattice constants to perform energy extrapolation.
Prerequisites#
pyscftrexiojqmc(installed in your environment)
How to Run#
1. Generate Wavefunction (PySCF -> TREXIO)#
First, run the PySCF script to generate the initial wavefunction and save it in TREXIO format.
python run_pyscf.py
This will create water_ccecp_ccpvtz.h5.
2. Run QMC Workflow (jQMC API)#
Next, run the jQMC script.
python run_jqmc.py
This script performs the following steps:
Initialization: Reads the TREXIO file and constructs the
Hamiltonian_dataobject, initializing Jastrow factors (1-body and 2-body).VMC Optimization: Optimizes the Jastrow parameters using the
MCMC.run_optimizemethod.VMC Sampling: Performs a VMC production run with the optimized parameters to get the VMC energy.
LRDMC Scan: Runs Lattice Regularized Diffusion Monte Carlo (LRDMC) for a series of lattice constants (
alat = [0.5, 0.4, 0.3]).Extrapolation: Performs a simple weighted linear regression on the LRDMC energies vs. \(a^2\) to extrapolate the energy to \(a \to 0\).
Key Concepts#
Constructing Hamiltonian Data#
Instead of using jqmc_tool.py from the command line, we use read_trexio_file and the Hamiltonian_data class directly.
from jqmc.trexio_wrapper import read_trexio_file
from jqmc.hamiltonians import Hamiltonian_data
## ... (Jastrow imports)
(structure_data, aos_data, mos_data, _, geminal_data, coulomb_potential_data) = read_trexio_file(trexio_file, store_tuple=True)
## ... (Initialize Jastrow objects)
hamiltonian_data = Hamiltonian_data(...)
Running MCMC/VMC#
The MCMC class handles Variational Monte Carlo.
from jqmc.jqmc_mcmc import MCMC
mcmc = MCMC(hamiltonian_data=hamiltonian_data, ...)
mcmc.run_optimize(...) # Optimization
mcmc.run(...) # Sampling
Running LRDMC#
The GFMC_fixed_num_projection class handles LRDMC (Green’s Function Monte Carlo with fixed population).
from jqmc.jqmc_gfmc import GFMC_fixed_num_projection
lrdmc = GFMC_fixed_num_projection(hamiltonian_data=hamiltonian_data, alat=0.5, ...)
lrdmc.run(...)
jqmc-example08:#
This example demonstrates how to use jQMC as a Python library with MPI parallelization. It is similar to Example 07 but designed to run on multiple cores/nodes.
Overview#
The workflow consists of two main scripts:
run_pyscf.py: Runs a PySCF calculation (HF/DFT) and exports the results to a TREXIO file (water_ccecp_ccpvtz.h5). This is a serial script.run_jqmc_mpi.py: The MPI-enabled jQMC script. It loads the TREXIO file, constructs the Hamiltonian, performs VMC optimization, runs VMC sampling, and executes LRDMC calculations with multiple lattice constants.
Prerequisites#
pyscftrexiojqmc(installed in your environment)mpi4pyMPI implementation (e.g., OpenMPI, MPICH)
How to Run#
1. Generate Wavefunction (PySCF -> TREXIO)#
First, run the PySCF script to generate the initial wavefunction. This step is serial.
python run_pyscf.py
This will create water_ccecp_ccpvtz.h5.
2. Run QMC Workflow (jQMC API with MPI)#
Next, run the jQMC script using mpirun (or mpiexec).
mpirun -np 4 python run_jqmc_mpi.py
Replace 4 with the number of MPI processes you wish to use.
Key Concepts#
MPI Initialization#
The script initializes MPI using mpi4py.
from mpi4py import MPI
comm = MPI.COMM_WORLD
rank = comm.Get_rank()
size = comm.Get_size()
Logging and Output#
Only the root process (rank 0) should print logs and save files to avoid race conditions and cluttered output.
if rank == 0:
logger.info(...)
hamiltonian_data.save_to_hdf5(...)
Parallel Execution#
Hamiltonian Construction: All ranks read the TREXIO file and construct the
Hamiltonian_dataobject independently. This ensures every rank has the necessary data structures.MCMC/GFMC: The
MCMCandGFMCclasses in jQMC are designed to handle MPI automatically. When you instantiate them and callrunorrun_optimize, they coordinate across ranks.Walkers are distributed across MPI processes.
run_optimizesynchronizes parameters (gradients are summed across ranks).get_Eperforms an MPI reduction to return the global energy mean and standard deviation to all ranks.
## All ranks execute this
mcmc.run_optimize(...)
mcmc.run(...)
E_mean, E_std, _, _ = mcmc.get_E(...) # Returns global stats
Extrapolation#
The final extrapolation step is performed only by rank 0, using the gathered results.
jqmc-workflow-example01: Hydrogen PES calculations#
Potential energy surface (PES) of the hydrogen molecule (H\(_2\)) computed using jqmc-workflows. All-electron calculations with Cartesian GTOs (cc-pVTZ basis). Atomic forces at each bond length are obtained via algorithmic differentiation (AD) in JAX.
Overview#
This example automates the full QMC pipeline for 20 bond lengths using jqmc_workflow:
pySCF (DFT) --> WF conversion (JSD) --> VMC optimization --> MCMC + LRDMC (a = 0.2)
The workflow DAG is constructed programmatically in run_pes_pipeline.py and executed via Launcher, which resolves dependencies and runs independent R values in parallel.
Ansatz and optimization#
JSD (Jastrow-Slater Determinant): J1 (one-body) + J2 (two-body) + J3 (three-body, MO basis)
VMC optimization: 20 steps with
opt_with_projected_MOs = true(MOs are optimized alongside Jastrow parameters)MCMC: production sampling with atomic forces
LRDMC: lattice-regularized diffusion Monte Carlo at
a = 0.2with atomic forces
Bond lengths#
R ($\text{\AA}$) = 0.35 0.40 0.45 0.50 0.55 0.60 0.65 0.70
0.74 0.80 0.85 0.90 0.95 1.00 1.05 1.10
1.15 1.20 1.30 1.40
Prerequisites#
jqmc,jqmc-tool, andjqmc_workflowinstalledpyscfwith TREXIO support (pyscf.tools.trexio)Machine configuration in
jqmc_setting_local/
Quick start#
cd examples/jqmc-workflow-example01
python run_pes_pipeline.py
The script performs the following steps automatically:
Step 1 – DFT trial wavefunctions (pySCF)#
For each bond length R, a DFT (LDA) calculation is run locally with pySCF to produce a TREXIO file. The pySCF script is generated and executed in R_{R}/00_pyscf/.
## Generated automatically for each R
from pyscf import gto, scf
from pyscf.tools import trexio
R = 0.74 # angstrom
filename = f"H2_R_{R:.2f}.h5"
mol = gto.Mole()
mol.atom = f"""
H 0.000000000 0.000000000 {-R / 2}
H 0.000000000 0.000000000 {+R / 2}
"""
mol.basis = "ccpvtz"
mol.unit = "A"
mol.cart = True
mol.build()
mf = scf.KS(mol).density_fit()
mf.xc = "LDA_X,LDA_C_PZ"
mf.kernel()
trexio.to_trexio(mf, filename)
Step 2 – WF conversion (JSD)#
The TREXIO file is converted to hamiltonian_data.h5 with a JSD Jastrow factor:
WF_Workflow(
trexio_file="H2_R_0.74.h5",
j1_parameter=1.0, # one-body Jastrow
j2_parameter=1.0, # two-body Jastrow
j3_basis_type="mo", # three-body Jastrow in MO basis
)
Step 3 – VMC optimization#
Jastrow parameters (J1, J2, J3) and molecular orbitals are optimized simultaneously:
VMC_Workflow(
server_machine_name="localhost",
queue_label="local",
num_opt_steps=20,
opt_J1_param=True,
opt_J2_param=True,
opt_J3_param=True,
opt_with_projected_MOs=True,
target_error=0.001,
)
Step 4 – MCMC and LRDMC production#
MCMC and LRDMC production runs are launched in parallel (they both depend only on the VMC-optimized wavefunction):
MCMC_Workflow(
server_machine_name="localhost",
queue_label="local",
target_error=0.001,
atomic_force=True,
)
LRDMC_Workflow(
server_machine_name="localhost",
queue_label="local",
alat=0.2,
target_error=0.001,
atomic_force=True,
)
Directory structure#
After running the pipeline, each bond length has the following structure:
R_0.74/
├── 00_pyscf/ # pySCF DFT calculation
│ ├── run_pyscf.py
│ ├── H2_R_0.74.h5 # TREXIO file
│ └── H2_R_0.74.out # pySCF output
├── 01_wf/ # WF_Workflow: TREXIO --> hamiltonian_data.h5
├── 02_vmc/ # VMC_Workflow: Jastrow + MO optimization
│ ├── hamiltonian_data_opt_step_1.h5
│ ├── ...
│ └── hamiltonian_data_opt_step_20.h5
├── 03_mcmc/ # MCMC_Workflow: production sampling + forces
└── 04_lrdmc/ # LRDMC_Workflow: LRDMC (a=0.2) + forces
Workflow DAG#
For each R, the dependency graph is:
pySCF --> WF --> VMC ─┬─--> MCMC
└─--> LRDMC (a=0.2)
All 20 R values are independent and execute in parallel via Launcher.
Machine configuration#
This example uses local execution (jqmc_setting_local/):
## machine_data.yaml
localhost:
machine_type: local
queuing: false
## Remote machines require ssh_host:
## cluster:
## ssh_host: my-cluster # Host alias in ~/.ssh/config
## machine_type: remote
## queuing: true
## ...
## localhost/queue_data.toml
[local]
submit_template = 'submit_mpi.sh'
num_cores = 4
omp_num_threads = 1
To run on a remote cluster, change SERVER and QUEUE_LABEL in run_pes_pipeline.py and provide the appropriate machine configuration.
Output#
The script prints a summary table after all calculations complete:
| R ($\text{\AA}$) | E_HF (Ha) | E_MCMC (Ha) | F_MCMC (Ha/$\text{\AA}$) | E_LRDMC (Ha) | F_LRDMC (Ha/$\text{\AA}$) |
|--------|---------------|-----------------|-----------------|-----------------|------------------|
| 0.35 | -0.XXXXXX | -X.XXXXX(XX) | -X.XXXXX(XX) | -X.XXXXX(XX) | -X.XXXXX(XX) |
| ... | ... | ... | ... | ... | ... |
| 1.40 | -0.XXXXXX | -X.XXXXX(XX) | -X.XXXXX(XX) | -X.XXXXX(XX) | -X.XXXXX(XX) |
Results#

References#
jqmc-workflow-example02: GPU Vectorization Benchmark (Walker Scaling)#
Vectorization benchmark of jQMC on GPUs. The throughput of MCMC and LRDMC calculations is measured as a function of the number of walkers assigned to a single GPU, sweeping from 8 to 8192 walkers. This benchmark was measured on Node Group B of GENKAI supercomputer in Kyushu University.
Overview#
This example automates the full QMC benchmark pipeline for a water molecule using jqmc_workflow:
pySCF (DFT-LDA) --> WF conversion (JSD) --> VMC optimization --> MCMC $\times$ 11 walker counts
--> LRDMC $\times$ 11 walker counts
The workflow DAG is constructed programmatically in run_pipelines.py and executed via Launcher. The WF conversion and VMC optimization are run once; then MCMC and LRDMC production runs are launched for each walker count independently.
Target system#
Molecule |
Electrons |
Basis set |
ECP |
|---|---|---|---|
Water |
8 |
cc-pVTZ (ccECP) |
ccECP |
Ansatz and optimization#
JSD (Jastrow-Slater Determinant): J2 (two-body, exponential) + J3 (three-body, AO-small basis). No J1.
VMC optimization: 50 steps with SR optimizer (
adaptive_learning_rate = True,delta = 0.35)Determinant part is not optimized (
opt_with_projected_MOs = False)
Walker counts#
walkers = 8 16 32 64 128 256 512 1024 2048 4096 8192
Measurement parameters#
For each walker count, MCMC and LRDMC use explicit step counts (not target-error convergence):
Method |
Steps |
nmpm |
alat |
|---|---|---|---|
MCMC |
1000 |
– |
– |
LRDMC |
1000 |
40 |
0.30 |
Prerequisites#
jqmc,jqmc-tool, andjqmc_workflowinstalledpyscfwith TREXIO support (pyscf.tools.trexio)Machine configuration in
jqmc_setting_local/
Quick start#
cd examples/jqmc-workflow-example02
python run_pipelines.py
The script performs the following steps automatically:
Step 1 – DFT trial wavefunction (pySCF)#
A DFT-LDA calculation is run locally with pySCF to produce a TREXIO file for a water molecule (ccECP / cc-pVTZ, Cartesian). If the TREXIO file already exists, this step is skipped.
## Generated automatically (embedded in run_pipelines.py)
from pyscf import gto, scf
from pyscf.tools import trexio
mol = gto.Mole()
mol.atom = """
O 5.000000 7.147077 7.650971
H 4.068066 6.942975 7.563761
H 5.380237 6.896963 6.807984
"""
mol.basis = "ccecp-ccpvtz"
mol.unit = "A"
mol.ecp = "ccecp"
mol.cart = True
mol.build()
mf = scf.KS(mol).density_fit()
mf.xc = "LDA_X,LDA_C_PZ"
mf.kernel()
trexio.to_trexio(mf, "water_trexio.hdf5")
Step 2 – WF conversion (JSD)#
The TREXIO file is converted to hamiltonian_data.h5 with a JSD Jastrow factor:
WF_Workflow(
trexio_file="water_trexio.hdf5",
j1_parameter=None, # no one-body Jastrow
j2_parameter=1.0, # two-body Jastrow (exponential)
j3_basis_type="ao-small", # three-body Jastrow in AO-small basis
)
Step 3 – VMC optimization#
J2 and J3 parameters are optimized (J1 = None, MOs not optimized):
VMC_Workflow(
server_machine_name="cluster",
queue_label="cores-4-mpi-4-gpu-4-omp-1-3h",
number_of_walkers=256,
num_opt_steps=50,
opt_J1_param=False,
opt_J2_param=True,
opt_J3_param=True,
opt_with_projected_MOs=False,
target_error=1.0e-3,
optimizer_kwargs={
"method": "sr",
"delta": 0.350,
"epsilon": 0.001,
"adaptive_learning_rate": True,
},
)
Step 4 – MCMC and LRDMC production (per walker count)#
For each of the 11 walker counts, MCMC and LRDMC production runs are launched independently. All 22 jobs (11 \(\times\) 2) are submitted in parallel via Launcher:
## For each walker count nw in [8, 16, ..., 8192]:
MCMC_Workflow(
server_machine_name="cluster",
queue_label="cores-4-mpi-4-gpu-4-omp-1-30m",
number_of_walkers=nw,
pilot_steps=1000, # explicit step count
)
LRDMC_Workflow(
server_machine_name="cluster",
queue_label="cores-4-mpi-4-gpu-4-omp-1-30m",
alat=0.30,
number_of_walkers=nw,
num_mcmc_per_measurement=40,
pilot_steps=1000, # explicit step count
)
Directory structure#
After running the pipeline:
jqmc-workflow-example02/
├── run_pipelines.py # Main script
├── run_pyscf.py # Standalone pySCF script (reference)
├── water_trexio.hdf5 # TREXIO file (pySCF output)
├── jqmc_setting_local/ # Machine configuration
├── 01_wf/ # WF_Workflow: TREXIO --> hamiltonian_data.h5
├── 02_vmc/ # VMC_Workflow: Jastrow optimization
├── 03_mcmc/ # MCMC production (per walker count)
│ ├── w00008/
│ ├── w00016/
│ ├── ...
│ └── w08192/
├── 04_lrdmc/ # LRDMC production (per walker count)
│ ├── w00008/
│ ├── w00016/
│ ├── ...
│ └── w08192/
Workflow DAG#
pySCF --> WF --> VMC ─┬─--> MCMC (w8) ─┐
├─--> MCMC (w16) │
├─--> ... ├─--> Summary table
├─--> MCMC (w8192) │
├─--> LRDMC (w8) │
├─--> LRDMC (w16) │
├─--> ... │
└─--> LRDMC (w8192) ─┘
Machine configuration#
This example assumes a cluster where each node has 4 NVIDIA GPUs. The benchmark uses a single node with 4 MPI processes (one per GPU).
Component |
Specification |
|---|---|
CPU |
Intel Xeon Platinum 8490H (Sapphire Rapids, 60 cores, 1.90–3.50 GHz) × 2 sockets |
GPU |
NVIDIA H100 (Hopper) × 4 sockets |
To run on a different cluster, change SERVER, QUEUE_LABEL_s, and QUEUE_LABEL_l in run_pipelines.py and provide the appropriate machine configuration in jqmc_setting_local/.
Benchmark results#

Output#
The script prints a summary table after all calculations complete:
| Walkers | E_MCMC (Ha) | MCMC t_net (s) | E_LRDMC (Ha) | LRDMC t_net (s) |
|----------|-------------------|----------------|-------------------|-----------------|
| 8 | -X.XXXXX(XX) | XX.X | -X.XXXXX(XX) | XX.X |
| 16 | -X.XXXXX(XX) | XX.X | -X.XXXXX(XX) | XX.X |
| ... |
| 8192 | -X.XXXXX(XX) | XX.X | -X.XXXXX(XX) | XX.X |
The net computation time (excluding JIT compilation) is parsed from the jQMC output files.
jqmc-workflow-example03: Water Energy & Force with J3#
Energies and atomic forces for a water molecule (ccECP / cc-pVTZ, Cartesian) computed via MCMC and LRDMC using a J3 Jastrow factor. Forces are obtained via algorithmic differentiation (AD) in JAX.
Overview#
This example automates the full QMC pipeline for a water molecule using jqmc_workflow:
pySCF (HF) --> WF conversion (JSD) --> VMC optimization --> MCMC (energy + force)
--> LRDMC (energy + force)
The workflow DAG is constructed programmatically in run_pipelines.py and executed via Launcher, which resolves dependencies and runs MCMC and LRDMC in parallel.
Target system#
Molecule |
Electrons |
Basis set |
ECP |
|---|---|---|---|
Water |
8 |
cc-pVTZ (ccECP) |
ccECP |
Ansatz and optimization#
JSD (Jastrow-Slater Determinant): J2 (two-body, exponential) + J3 (three-body, AO-small basis). No J1.
VMC optimization: 100 steps with SR optimizer (
adaptive_learning_rate = True,delta = 0.35)Determinant part is not optimized (
opt_with_projected_MOs = False)1024 walkers per MPI process
Production parameters#
Method |
Target error |
alat |
atomic_force |
max_time |
max_continuation |
|---|---|---|---|---|---|
MCMC |
5.0e-4 Ha |
– |
|
76 000 s |
2 |
LRDMC |
5.0e-4 Ha |
0.30 |
|
76 000 s |
2 |
Prerequisites#
jqmc,jqmc-tool, andjqmc_workflowinstalledpyscfwith TREXIO support (pyscf.tools.trexio)Machine configuration in
jqmc_setting_local/(not included; copy from another workflow example and adjust)
Quick start#
cd examples/jqmc-workflow-example03
python run_pipelines.py
The script performs the following steps automatically:
Step 0 – DFT trial wavefunction (pySCF)#
A Hartree-Fock calculation is run locally with pySCF to produce a TREXIO file. If the file already exists, this step is skipped.
## Generated automatically (embedded in run_pipelines.py)
from pyscf import gto, scf
from pyscf.tools import trexio
mol = gto.Mole()
mol.atom = """
O 5.00000000 7.14707700 7.65097100
H 4.06806600 6.94297500 7.56376100
H 5.38023700 6.89696300 6.80798400
"""
mol.basis = "ccecp-ccpvtz"
mol.unit = "A"
mol.ecp = "ccecp"
mol.cart = True
mol.build()
mf = scf.HF(mol)
mf.max_cycle = 200
mf.kernel()
trexio.to_trexio(mf, "water_ccecp_ccpvtz.h5")
Step 1 – WF conversion (JSD)#
The TREXIO file is converted to hamiltonian_data.h5 with a JSD Jastrow factor:
WF_Workflow(
trexio_file="water_ccecp_ccpvtz.h5",
j1_parameter=None, # no one-body Jastrow
j2_parameter=1.0, # two-body Jastrow (exponential)
j3_basis_type="ao-small", # three-body Jastrow in AO-small basis
)
Step 2 – VMC optimization#
J2 and J3 parameters are optimized (J1 = None, MOs not optimized):
VMC_Workflow(
server_machine_name="cluster",
queue_label="cores-4-mpi-4-gpu-4-omp-1-3h",
pilot_queue_label="cores-4-mpi-4-gpu-4-omp-1-30m",
number_of_walkers=1024,
num_opt_steps=100,
opt_J1_param=False,
opt_J2_param=True,
opt_J3_param=True,
opt_lambda_param=False,
opt_with_projected_MOs=False,
target_error=3.0e-3,
optimizer_kwargs={
"method": "sr",
"delta": 0.350,
"epsilon": 0.001,
"adaptive_learning_rate": True,
},
max_time=76000,
max_continuation=2,
)
Step 3 – MCMC and LRDMC production#
MCMC and LRDMC production runs are launched in parallel (they both depend only on the VMC-optimized wavefunction). Both compute energies and atomic forces:
MCMC_Workflow(
server_machine_name="cluster",
queue_label="cores-4-mpi-4-gpu-4-omp-1-3h",
number_of_walkers=1024,
Dt=2.0,
target_error=5.0e-4,
atomic_force=True,
max_time=76000,
max_continuation=2,
)
LRDMC_Workflow(
server_machine_name="cluster",
queue_label="cores-4-mpi-4-gpu-4-omp-1-3h",
alat=0.30,
number_of_walkers=1024,
target_error=5.0e-4,
atomic_force=True,
num_gfmc_collect_steps=20,
max_time=76000,
max_continuation=2,
)
Directory structure#
After running the pipeline:
jqmc-workflow-example03/
├── run_pipelines.py # Main script
├── 01_wf/ # WF_Workflow: TREXIO --> hamiltonian_data.h5
├── 02_vmc/ # VMC_Workflow: Jastrow optimization (100 steps)
│ ├── hamiltonian_data_opt_step_1.h5
│ ├── ...
│ └── hamiltonian_data_opt_step_100.h5
├── 03_mcmc/ # MCMC_Workflow: production sampling + forces
└── 04_lrdmc/ # LRDMC_Workflow: LRDMC (a=0.30) + forces
Workflow DAG#
pySCF --> WF --> VMC ─┬─--> MCMC (energy + force)
└─--> LRDMC (energy + force)
Machine configuration#
To run on a different cluster, change SERVER, QUEUE_LABEL, and PILOT_QUEUE_LABEL in run_pipelines.py and provide the appropriate machine configuration in jqmc_setting_local/.
Output#
The script prints a summary table after all calculations complete:
Water Energy & Force Summary (ccECP / cc-pVTZ, Cartesian)
LRDMC a = 0.3, VMC opt steps = 100
| Pattern | Energy (Ha) | Force (Ha/bohr) |
|--------------|-----------------|-------------------|
| MCMC | -X.XXXXX(XX) | -X.XXXXX(XX) |
| LRDMC | -X.XXXXX(XX) | -X.XXXXX(XX) |
jqmc-workflow-example99: Local Integration Test#
Temporary local test for jqmc_workflow.
Assumes ~/.jqmc_setting/ (= jqmc_setting_local) is already configured with a working localhost entry.
What this tests#
Full pipeline: pySCF –> WF –> VMC (5 opt steps) –> MCMC for H\(_2\) at 2 bond lengths (R = 0.74, 1.00 \(\text{\AA}\))
Phase-1 diagnostic APIs (newly implemented):
get_all_workflow_statuses()– recursiveworkflow_state.tomlcollectionget_workflow_summary()– per-directory status + result + jobs summaryparse_vmc_output()– per-step VMC data (energy, S/N, walker weight, acceptance ratio, net time)parse_mcmc_output()– MCMC diagnostic dataparse_input_params()– TOML parameter extraction
Prerequisites#
jqmc,jqmc-tool,jqmc_workflowinstalledpyscfwith TREXIO support~/.jqmc_setting/configured withlocalhost(queuing: false)
Usage#
cd examples/jqmc-workflow-example99
python run_test.py
Configuration#
Everything is intentionally minimal for fast local execution:
Parameter |
Value |
Notes |
|---|---|---|
|
5 |
VMC optimization steps |
|
16 |
Minimal walker count |
|
0.1 Ha |
Very loose – just finish |
|
2 |
0.74, 1.00 \(\text{\AA}\) |
|
localhost |
No remote needed |
Output#
After the pipeline, the script prints diagnostic output from the Phase-1 APIs:
--- get_all_workflow_statuses ---
R_0.74/01_wf label=wf-0.74 type=wf status=completed
R_0.74/02_vmc label=vmc-0.74 type=vmc status=completed
R_0.74/03_mcmc label=mcmc-0.74 type=mcmc status=completed
...
--- parse_vmc_output ---
R=0.74: 5 optimization steps parsed
last step 5: E=-1.1709, snr=..., walker_wt=..., accept=..., time=...s
...
--- parse_mcmc_output ---
R=0.74: energy=-1.1745, error=0.0012, accept=0.51, ...
...